留言板

尊敬的读者、作者、审稿人, 关于本刊的投稿、审稿、编辑和出版的任何问题, 您可以本页添加留言。我们将尽快给您答复。谢谢您的支持!

姓名
邮箱
手机号码
标题
留言内容
验证码

氨基接枝聚硼硅氧烷改性脲醛树脂的阻燃增韧研究

沈佳豪 陈风青 冯炎 康桥 戴进峰 金春德

沈佳豪, 陈风青, 冯炎, 等. 氨基接枝聚硼硅氧烷改性脲醛树脂的阻燃增韧研究[J]. 浙江农林大学学报, 2026, 43(X): 1−10 doi:  10.11833/j.issn.2095-0756.20250400
引用本文: 沈佳豪, 陈风青, 冯炎, 等. 氨基接枝聚硼硅氧烷改性脲醛树脂的阻燃增韧研究[J]. 浙江农林大学学报, 2026, 43(X): 1−10 doi:  10.11833/j.issn.2095-0756.20250400
SHEN Jiahao, CHEN Fengqing, FENG Yan, et al. Flame retardancy and toughening of urea-formaldehyde resin modified by amino-grafted polyborosiloxane[J]. Journal of Zhejiang A&F University, 2026, 43(X): 1−10 doi:  10.11833/j.issn.2095-0756.20250400
Citation: SHEN Jiahao, CHEN Fengqing, FENG Yan, et al. Flame retardancy and toughening of urea-formaldehyde resin modified by amino-grafted polyborosiloxane[J]. Journal of Zhejiang A&F University, 2026, 43(X): 1−10 doi:  10.11833/j.issn.2095-0756.20250400

本文已在中国知网网络首发,可在知网搜索、下载并阅读全文。

氨基接枝聚硼硅氧烷改性脲醛树脂的阻燃增韧研究

DOI: 10.11833/j.issn.2095-0756.20250400
基金项目: 浙江省江山市竞争性科技攻关专项(JS2024G65);福建省福州市科技局“揭榜挂帅”项目(2023JCB034);浙江省科学技术厅“尖兵领雁”项目(2022C03128);浙江省大学生科技创新活动计划(新苗计划)项目(2025R412C058)
详细信息
    作者简介: 沈佳豪(ORCID: 0009-0005-6947-5447),从事胶黏剂改性及应用研究。E-mail: 2627664879@qq.com
    通信作者: 戴进峰(ORCID: 0000-0003-0629-3687),副教授,从事阻燃材料研究。E-mail: jinfengdai0601@zafu.edu.cn
  • 中图分类号: TS653.3

Flame retardancy and toughening of urea-formaldehyde resin modified by amino-grafted polyborosiloxane

  • 摘要:   目的  脲醛树脂(UF)以其优异性能以及成本优势,广泛应用于胶合板、饰面纸等装饰材料。然而,因UF在应用时脆性大且存在火安全属性问题,亟须对此类树脂进行增韧阻燃改性,扩大其应用范围。  方法  以氨基接枝的聚硼硅氧烷(N-PBS)为单体,通过原位聚合制备N-PBS改性的阻燃增韧脲醛树脂(PUF),构建兼具黏结性、韧性和阻燃性的浸渍胶体系,提升UF的力学性能及阻燃性能。  结果  得益于N-PBS柔性链对UF主链的改性,添加了质量分数10%N-PBS的PUF涂胶的饰面板(10%PUF)较纯脲醛树脂涂胶的饰面板,表现出良好的力学性能和阻燃性能:①火焰燃烧30 s后的饰面板背面温度降低了78.2 oC,烧穿时间延缓了60 s,且离火后自熄;②干胶合强度提升了27%,湿胶合强度满足GB/T 9846—2015《普通胶合板》中Ⅱ类胶合板标准;③韧性得到提升,卷曲半径减小0.9 mm。  结论  通过原位聚合方法在UF结构中引入N-PBS,构建的化学交联协同增强了PUF的阻燃性能、胶合强度与韧性,为提升UF的高附加值应用和应用范围扩大做了技术支撑。图10参36
  • 图  1  氨基接枝的聚硼硅氧烷(N-PBS)合成过程

    Figure  1  Synthesis route of N-PBS

    图  2  PUF的合成反应机理

    Figure  2  Reaction mechanism of PUF synthesis

    图  3  N-PBS以及PUF的化学结构分析

    Figure  3  Chemical structural analysis of N-PBS and PUF

    图  4  改性脲醛树脂(PUF)的热重和热重微分曲线

    Figure  4  TG and DTG curves of PUF

    图  5  UF、PUF与木板在涂层燃烧试验中的数码照片和红外热成像图

    Figure  5  Photographs recorded in infrared thermographic tests of UF, PUF and wood

    图  6  UF及PUF的红外热成像曲线

    Figure  6  Infrared thermographic curves of UF and PUF

    图  7  UF及PUF的残炭SEM照片与EDS能谱图

    Figure  7  SEM images of carbon residues from UF, PUF and 10%PUF EDS spectrum

    图  8  PUF的阻燃机理示意图

    Figure  8  Schematic illustration of flame-retardant of PUF

    图  9  UF及不同PUF的干湿胶合强度和饰面纸的卷曲半径

    Figure  9  Bonding strength and curl radius test of impregnated paper by UF and different PUFs

    图  10  UF以及PUF胶合板的拉伸断面SEM照片

    Figure  10  SEM images of the tensile fracture surfaces of UF and PUF plywood

  • [1] WANG Shuo, WANG Feibin, MA Panpan, et al. Eco-friendly wooden nails: bonding mechanisms and withdrawal resistance in sustainable timber connections[J]. Journal of Cleaner Production, 2025, 486: 144606. DOI: 10.1016/j.jclepro.2024.144606.
    [2] CHEN Lei, LONG Yuqiong, HUANG Beijia, et al. Technological innovations review in reducing formaldehyde emissions through adhesives and formaldehyde scavengers for building materials[J]. Environmental Research, 2025, 273: 121242. DOI: 10.1016/j.envres.2025.121242.
    [3] SONG Jingbiao, CHEN Shiwei, YI Xibin, et al. Preparation and properties of the urea-formaldehyde res-In/reactive halloysite nanocomposites adhesive with low-formaldehyde emission and good water resistance[J]. Polymers, 2021, 13(14): 2224. DOI: 10.3390/polym13142224.
    [4] YANG Hongxing, WANG Hao, DU Guanben, et al. Ureido hyperbranched polymer modified urea-formaldehyde resin as high-performance particleboard adhesive[J]. Materials, 2023, 16(11): 4021. DOI: 10.3390/ma16114021.
    [5] ZHAO Li, LI Wenjie, CHENG Yu, et al. Preparation and evaluation of lignin-phenol-formaldehyde resin as wood adhesive using unmodified lignin[J]. Industrial Crops and Products, 2024, 211: 118168. DOI: 10.1016/j.indcrop.2024.118168.
    [6] WANG Hui, WANG Hongyan, LIAO Jingjing, et al. Technological properties of a branched polyethyleneimine derivative as a cross-linker for low molar ratio urea-formaldehyde resins[J]. Polymer Testing, 2023, 118: 107914. DOI: 10.1016/j.polymertesting.2022.107914.
    [7] LIU Ming, WANG Yan, WU Yiqiang, et al. “Greener” adhesives composed of urea-formaldehyde resin and cottonseed meal for wood-based composites[J]. Journal of Cleaner Production, 2018, 187: 361−371. DOI: 10.1016/j.jclepro.2018.03.239.
    [8] 李晓平, 吴章康, 邹全, 等. 不同胶黏剂和阻燃剂对刨花板燃烧性能的影响[J]. 浙江农林大学学报, 2014, 31(5): 739−744.

    LI Xiaoping, WU Zhangkang, ZOU Quan, et al. Flammability of particleboard paneling using resins and fire retardants[J]. Journal of Zhejiang A&F University, 2014, 31(5): 739−744. DOI: 10.11833/j.issn.2095-0756.2014.05.012.
    [9] 席雪冬, 雷洪, 杜官本, 等. 高质量分数甲醛增强冷固型三聚氰胺-尿素-甲醛树脂性能[J]. 浙江农林大学学报, 2016, 33(2): 300−305.

    XI Xuedong, LEI Hong, DU Guanben, et al. Cold-setting MUF resin adhesive prepared with concentrated fomaldehyde[J]. Journal of Zhejiang A&F University, 2016, 33(2): 300−305. DOI: 10.11833/j.issn.2095-0756.2016.02.016.
    [10] QU Ping, LI Yuncong, HUANG Hongying, et al. Foamed urea-formaldehyde microspheres for removal of heavy metals from aqueous solutions[J]. Chemosphere, 2020, 241: 125004. DOI: 10.1016/j.chemosphere.2019.125004.
    [11] 雷昆, 孙云龙, 徐衡, 等. THIEC改性三聚氰胺甲醛树脂泡沫的制备及其性能表征[J]. 功能高分子学报, 2016, 29(3): 329−334.

    LEI Kun, SUN Yunlong, XU Heng, et al. Preparation and performance characterization of tripolycyanamide formaldehyde resin foam modified by THIEC[J]. Journal of Functional Polymers, 2016, 29(3): 329−334. DOI: 10.14133/j.cnki.1008-9357.2016.03.012.
    [12] CAO Lijiu, HU Yue, MA Xu, et al. Double polymerization synergy to sharpen structural toughness of melamine resin foam[J]. European Polymer Journal, 2024, 215: 113221. DOI: 10.1016/j.eurpolymj.2024.113221.
    [13] 杨中兴, 齐鲁, 狄海燕. 三聚氰胺甲醛树脂改性及其纤维的性能[J]. 高分子材料科学与工程, 2008, 24(1): 147−150.

    YANG Zhongxing, QI Lu, DI Haiyan. Modification of melamine formaldehyde resin and properties of its fiber[J]. Polymer Materials Science and Engineering, 2008, 24(1): 147−150. DOI: 10.3321/j.issn:1000-7555.2008.01.039.
    [14] 吴艳金, 吴明军, 李美江. 聚硼硅氧烷的制备及应用研究进展[J]. 高分子通报, 2012(2): 94−98.

    WU Yanjin, WU Mingjun, LI Meijiang. Progress in preparation and application of polyborosiloxane[J]. Polymer Bulletin, 2012(2): 94−98.
    [15] ITO S, GORB S N. Fresh “pollen adhesive” weakens humidity-dependent pollen adhesion[J]. ACS Applied Materials & Interfaces, 2019, 11(27): 24691−24698. DOI: 10.1021/acsami.9b04817.
    [16] WEI Yanxia, YAO Jinrong, SHAO Zhengzhong, et al. Water-resistant zein-based adhesives[J]. ACS Sustainable Chemistry & Engineering, 2020, 8(20): 7668−7679. DOI: 10.1021/acssuschemeng.0c01179.
    [17] WANG Chengfei, ZAINAL ABIDIN S, TOYONG N M P, et al. Mildew resistance and antibacterial activity of plywood decorated with ZnO/TiO2 nanoparticle[J]. Journal of Saudi Chemical Society, 2024, 28(4): 101877. DOI: 10.1016/j.jscs.2024.101877.
    [18] LIU Ru, LIANG Min, XU Jianfeng, et al. Preparation of a novel formaldehyde-free impregnated decorative paper containing MnO2 nanoparticles for highly efficient formaldehyde removal[J]. ACS Applied Materials & Interfaces, 2023, 15(29): 34941−34955. DOI: 10.1021/acsami.3c05791.
    [19] ZHOU Kankan, CHENG Jianhui, FAN Minliang. Study on innovative laminated flooring with resin-impregnated paper[J]. Buildings, 2024, 14(10): 3250. DOI: 10.3390/buildings14103250.
    [20] PAGE J, WHALEY P, BELLINGHAM M, et al. A new consensus on reconciling fire safety with environmental & health impacts of chemical flame retardants[J]. Environment International, 2023, 173: 107782. DOI: 10.1016/j.envint.2023.107782.
    [21] LIU Shuai, WANG Sheng, SANG Min, et al. Nacre-mimetic hierarchical architecture in polyborosiloxane composites for synergistically enhanced impact resistance and ultra-efficient electromagnetic interference shielding[J]. ACS Nano, 2022, 16(11): 19067−19086. DOI: 10.1021/acsnano.2c08104.
    [22] LIU Zongsheng, MA Meng, GE Bangdong, et al. Toward flame-retardant, transparency, and high mechanical property of polycarbonate based on low addition of linear polyborosiloxane[J]. Chemical Engineering Journal, 2023, 474: 145799. DOI: 10.1016/j.cej.2023.145799.
    [23] ZHU Yue, YU Ronghua, WANG Shengda, et al. Unexpected core-shell char from polycarbonate/polyborosiloxane composites and its application in improving flame retardancy[J]. Chemical Engineering Journal, 2022, 446: 136742. DOI: 10.1016/j.cej.2022.136742.
    [24] ZHU Kongying, QI Hengzhi, WANG Shuang, et al. Preparation and characterization of melamine-formaldehyde resin micro- and nanocapsules filled with n-dodecane[J]. Journal of Macromolecular Science, Part B, 2012, 51(10): 1976−1990. DOI: 10.1080/00222348.2012.661663.
    [25] TRIPATHI M, RAHAMTULLAH, KUMAR D, et al. Influence of microcapsule shell material on the mechanical behavior of epoxy composites for self-healing applications[J]. Journal of Applied Polymer Science, 2014, 131(15): 40572. DOI: 10.1002/app.40572.
    [26] SINGH M. Preparation and structural characterization of melamine–methylurea–formaldehyde resin and its blends separately with ethyl cellulose, starch, teakwood, and almond shell powders by 13C NMR, IR, TGA, and SEM techniques[J]. Journal of Applied Polymer Science, 2004, 92(6): 3437−3446. DOI: 10.1002/app.20279.
    [27] FRIEDEL B, GREULICH-WEBER S. Preparation of monodisperse, submicrometer carbon spheres by pyrolysis of melamine-formaldehyde resin[J]. Small, 2006, 2(7): 859−863. DOI: 10.1002/smll.200500516.
    [28] MERLINE D J, VUKUSIC S, ABDALA A A. Melamine formaldehyde: curing studies and reaction mechanism[J]. Polymer Journal, 2013, 45(4): 413−419. DOI: 10.1038/pj.2012.162.
    [29] HAZARIKA A, MAJI T K. Properties of softwood polymer composites impregnated with nanoparticles and melamine formaldehyde furfuryl alcohol copolymer[J]. Polymer Engineering & Science, 2014, 54(5): 1019−1029. DOI: 10.1002/pen.23643.
    [30] HU Xiaofeng, HUANG Zhanhua, ZHANG Yanhua. Preparation of CMC-modified melamine resin spherical nano-phase change energy storage materials[J]. Carbohydrate Polymers, 2014, 101: 83−88. DOI: 10.1016/j.carbpol.2013.08.091.
    [31] SU Junfeng, WANG Shengbao, ZHANG Yunyi, et al. Physicochemical properties and mechanical characters of methanol-modified melamine-formaldehyde (MMF) shell microPCMs containing paraffin[J]. Colloid and Polymer Science, 2011, 289(2): 111−119. DOI: 10.1007/s00396-010-2328-1.
    [32] ANTUNES A, PAIVA N, FERRA J, et al. Highly flexible glycol-urea-formaldehyde resins[J]. European Polymer Journal, 2018, 105: 167−176. DOI: 10.1016/j.eurpolymj.2018.05.037.
    [33] DING Zhongjian, DING Zhongqiang, LIU Jian, et al. Derivative thermogravimetric analysis curve for characterizing the curing process of urea-formaldehyde resins[J]. International Journal of Adhesion and Adhesives, 2022, 117: 103184. DOI: 10.1016/j.ijadhadh.2022.103184.
    [34] BACIGALUPE A, MOLINARI F, EISENBERG P, et al. Adhesive properties of urea-formaldehyde resins blended with soy protein concentrate[J]. Advanced Composites and Hybrid Materials, 2020, 3(2): 213−221. DOI: 10.1007/s42114-020-00151-7.
    [35] ZHANG Chunling, LIANG Jingshi, YANG Yichen, et al. An anticorrosive coating based on polysiloxane with good chemical stability and long-term corrosion resistance[J]. Materials Chemistry and Physics, 2024, 325: 129717. DOI: 10.1016/j.matchemphys.2024.129717.
    [36] PANG Xiaoyan, GE Xin, JI Jianye, et al. Facile route for bio-phenol siloxane synthesis via heterogeneous catalytic method and its autonomic antibacterial property[J]. Polymers, 2018, 10(10): 1151. DOI: 10.3390/polym10101151.
  • [1] 王书强, 牛帅红, 沈道海, 庄仁爱, 李延军.  重组竹方材增湿软化工艺 . 浙江农林大学学报, 2016, 33(3): 477-482. doi: 10.11833/j.issn.2095-0756.2016.03.015
    [2] 席雪冬, 雷洪, 杜官本, 吴志刚, 曹明, 廖晶晶.  高质量分数甲醛增强冷固型三聚氰胺-尿素-甲醛树脂性能 . 浙江农林大学学报, 2016, 33(2): 300-305. doi: 10.11833/j.issn.2095-0756.2016.02.016
    [3] 刘铎, 何理辉, 姜年春, 鲍滨福, 沈哲红, 陈浩.  苯丙/二氧化硅改性剂对胶合板胶合性能和燃烧性能的影响 . 浙江农林大学学报, 2016, 33(1): 116-121. doi: 10.11833/j.issn.2095-0756.2016.01.016
    [4] 龚迎春, 任海青, 汤正捷, 吴章康, 黄伟.  3种阻燃剂对聚乙烯基木塑地板性能的影响 . 浙江农林大学学报, 2015, 32(3): 410-414. doi: 10.11833/j.issn.2095-0756.2015.03.012
    [5] 张蕾, 常晓雅, 吴静, 王明枝.  4A分子筛对膨胀型木材阻燃涂料阻燃性能的影响 . 浙江农林大学学报, 2015, 32(1): 156-161. doi: 10.11833/j.issn.2095-0756.2015.01.023
    [6] 解林坤, 王洪艳, 关成, 杜官本.  六甲基二硅氧烷等离子体对思茅松和西南桦木材表面的硅烷化 . 浙江农林大学学报, 2015, 32(6): 903-908. doi: 10.11833/j.issn.2095-0756.2015.06.012
    [7] 王书强, 庞小仁, 黄成建, 沈道海, 章卫钢, 李延军.  竹单板载药量对薄竹胶合板燃烧性能的影响 . 浙江农林大学学报, 2015, 32(4): 590-595. doi: 10.11833/j.issn.2095-0756.2015.04.015
    [8] 李晓平, 吴章康, 邹全, 张清伟.  不同胶黏剂和阻燃剂对刨花板燃烧性能的影响 . 浙江农林大学学报, 2014, 31(5): 739-744. doi: 10.11833/j.issn.2095-0756.2014.05.012
    [9] 王琮琮, 钱俊.  竹片质量对竹帘胶合板静曲强度与弹性模量的影响 . 浙江农林大学学报, 2014, 31(5): 758-763. doi: 10.11833/j.issn.2095-0756.2014.05.015
    [10] 蒋明衔, 陈奶荣, 林巧佳, 曾钦志, 饶久平.  响应面法优化杨木防腐胶合板的制作工艺 . 浙江农林大学学报, 2014, 31(1): 122-128. doi: 10.11833/j.issn.2095-0756.2014.01.019
    [11] 李晓平, 吴章康, 王珺.  思茅松阻燃胶合板的制备和性能 . 浙江农林大学学报, 2013, 30(5): 724-728. doi: 10.11833/j.issn.2095-0756.2013.05.014
    [12] 杨优优, 卢凤珠, 鲍滨福, 沈哲红.  载银二氧化钛纳米抗菌剂处理竹材和马尾松的防霉和燃烧性能 . 浙江农林大学学报, 2012, 29(6): 910-916. doi: 10.11833/j.issn.2095-0756.2012.06.016
    [13] 杨优优, 鲍滨福, 沈哲红.  纳米氧化锌处理马尾松材室外防霉及阻燃性能初步研究 . 浙江农林大学学报, 2012, 29(2): 197-202. doi: 10.11833/j.issn.2095-0756.2012.02.008
    [14] 傅深渊, 程书娜, 赵广杰, 高建荣, 胡飚, 栾复友.  阻燃型竹丝成形材燃烧动力学和燃烧性能 . 浙江农林大学学报, 2009, 26(6): 767-773.
    [15] 李世友, 李小宁, 李生红, 金贵军, 周全, 胡小龙, 王秋华.  3种针叶树种树皮的阻燃性研究 . 浙江农林大学学报, 2007, 24(2): 192-197.
    [16] 黄河浪, 卢晓宁, 薛丽丹, 曾志高, 梁星宇.  用氧等离子体处理改善竹地板胶合性能 . 浙江农林大学学报, 2006, 23(5): 486-490.
    [17] 傅深渊, 于红卫, 槐敏, 吕健全.  复合淀粉胶的制备及在胶合板上的应用 . 浙江农林大学学报, 2002, 19(3): 269-272.
    [18] 沈哲红, 许绍远.  喜树制造胶合板的初步研究 . 浙江农林大学学报, 2001, 18(3): 274-277.
    [19] 张文标, 陆肖宝, 柳献义, 周卫青, 余肖红.  阻燃胶合板研究的现状和对策 . 浙江农林大学学报, 2000, 17(2): 208-214.
    [20] 叶良明, 姜志宏, 叶建华.  竹材层压胶合板的结构优化 . 浙江农林大学学报, 1994, 11(2): 129-132.
  • 加载中
  • 链接本文:

    https://zlxb.zafu.edu.cn/article/doi/10.11833/j.issn.2095-0756.20250400

    https://zlxb.zafu.edu.cn/article/zjnldxxb/2026//1

图(10)
计量
  • 文章访问数:  18
  • HTML全文浏览量:  6
  • PDF下载量:  0
  • 被引次数: 0
出版历程
  • 收稿日期:  2025-07-29
  • 修回日期:  2026-01-22
  • 录用日期:  2026-01-27

氨基接枝聚硼硅氧烷改性脲醛树脂的阻燃增韧研究

doi: 10.11833/j.issn.2095-0756.20250400
    基金项目:  浙江省江山市竞争性科技攻关专项(JS2024G65);福建省福州市科技局“揭榜挂帅”项目(2023JCB034);浙江省科学技术厅“尖兵领雁”项目(2022C03128);浙江省大学生科技创新活动计划(新苗计划)项目(2025R412C058)
    作者简介:

    沈佳豪(ORCID: 0009-0005-6947-5447),从事胶黏剂改性及应用研究。E-mail: 2627664879@qq.com

    通信作者: 戴进峰(ORCID: 0000-0003-0629-3687),副教授,从事阻燃材料研究。E-mail: jinfengdai0601@zafu.edu.cn
  • 中图分类号: TS653.3

摘要:   目的  脲醛树脂(UF)以其优异性能以及成本优势,广泛应用于胶合板、饰面纸等装饰材料。然而,因UF在应用时脆性大且存在火安全属性问题,亟须对此类树脂进行增韧阻燃改性,扩大其应用范围。  方法  以氨基接枝的聚硼硅氧烷(N-PBS)为单体,通过原位聚合制备N-PBS改性的阻燃增韧脲醛树脂(PUF),构建兼具黏结性、韧性和阻燃性的浸渍胶体系,提升UF的力学性能及阻燃性能。  结果  得益于N-PBS柔性链对UF主链的改性,添加了质量分数10%N-PBS的PUF涂胶的饰面板(10%PUF)较纯脲醛树脂涂胶的饰面板,表现出良好的力学性能和阻燃性能:①火焰燃烧30 s后的饰面板背面温度降低了78.2 oC,烧穿时间延缓了60 s,且离火后自熄;②干胶合强度提升了27%,湿胶合强度满足GB/T 9846—2015《普通胶合板》中Ⅱ类胶合板标准;③韧性得到提升,卷曲半径减小0.9 mm。  结论  通过原位聚合方法在UF结构中引入N-PBS,构建的化学交联协同增强了PUF的阻燃性能、胶合强度与韧性,为提升UF的高附加值应用和应用范围扩大做了技术支撑。图10参36

English Abstract

沈佳豪, 陈风青, 冯炎, 等. 氨基接枝聚硼硅氧烷改性脲醛树脂的阻燃增韧研究[J]. 浙江农林大学学报, 2026, 43(X): 1−10 doi:  10.11833/j.issn.2095-0756.20250400
引用本文: 沈佳豪, 陈风青, 冯炎, 等. 氨基接枝聚硼硅氧烷改性脲醛树脂的阻燃增韧研究[J]. 浙江农林大学学报, 2026, 43(X): 1−10 doi:  10.11833/j.issn.2095-0756.20250400
SHEN Jiahao, CHEN Fengqing, FENG Yan, et al. Flame retardancy and toughening of urea-formaldehyde resin modified by amino-grafted polyborosiloxane[J]. Journal of Zhejiang A&F University, 2026, 43(X): 1−10 doi:  10.11833/j.issn.2095-0756.20250400
Citation: SHEN Jiahao, CHEN Fengqing, FENG Yan, et al. Flame retardancy and toughening of urea-formaldehyde resin modified by amino-grafted polyborosiloxane[J]. Journal of Zhejiang A&F University, 2026, 43(X): 1−10 doi:  10.11833/j.issn.2095-0756.20250400
  • 胶黏剂是一种能够将多种材料牢固结合在一起的物质,在木质复合材料领域以及木材资源的高效利用中扮演着至关重要的角色[12]。甲醛类树脂作为一类热固性高分子材料,广泛应用于涂料、层压制品、泡沫材料、模塑料及木质复合板材等领域[35],脲醛树脂(UF),因其工艺简便、成本低、胶合强度优异等特点[613],在木质复合材料领域已成为最重要的胶黏剂之一。然而,UF存在固有脆性大的问题[1416],导致胶合板在应力作用下易开裂,限制了胶合板在高端结构材料中的应用[17]。此外,木质复合材料本身易燃,而UF无法提供足够的阻燃性,且其热降解产物(如甲醛)甚至可能加剧燃烧,带来严重的火灾隐患。

    近年来,研究者尝试通过共混改性(如引入柔性链段聚合物)或纳米复合(如纤维素纳米纤维、蒙脱土[1819])提升UF的韧性,然而这些方法通常导致树脂的胶合强度降低。在阻燃方面,传统方法多依赖后处理浸渍阻燃剂,但存在迁移、耐久性差等问题[20]。因此,开发一种兼具增韧、阻燃且不影响UF原有胶合性能的新型改性策略至关重要。这不仅有助于降低木质产品火灾风险,也对开发高性能浸渍胶,推动饰面胶合板的高值化应用具有重要意义。

    聚硼硅氧烷(PBS)为UF的增韧阻燃改性提供了一条有效途径。PBS是一类分子主链由硅氧键(Si—O—Si)和硼氧键(B—O)构成的杂链有机硅聚合物,因同时具有高键能的Si—O—B键(>500 kJ·mol−1)和柔顺性良好的Si—O—Si链,具有突出的可变形能力、热稳定性和韧性,从而被用于改善改性增效材料的阻燃与力学性能[21]。得益于PBS支链的反应活性,PBS可通过化学接枝制备高分子改性助剂。因此,通过氨基接枝改性PBS,其含氮基团可与硼、硅组分产生协同阻燃作用,同时活性氨基可与UF形成化学交联,从而显著改善界面相容性和韧性。本研究采用氨基接枝PBS对UF进行改性,促进UF在更广泛领域的应用,具有重要研究和应用价值。

    • 采用化学原料:硼酸(分析纯,上海麦克林生化科技股份有限公司);端羟基聚二甲基硅氧烷(PDMS,黏度30 mPa·s, 山东威尚化工有限公司);氯化氨(分析纯,上海阿拉丁生化科技股份有限公司); 氢氧化钠(分析纯,上海阿拉丁生化科技股份有限公司);尿素(分析纯,上海麦克林生化科技股份有限公司);甲醛(分析纯,上海阿拉丁生化科技股份有限公司)。

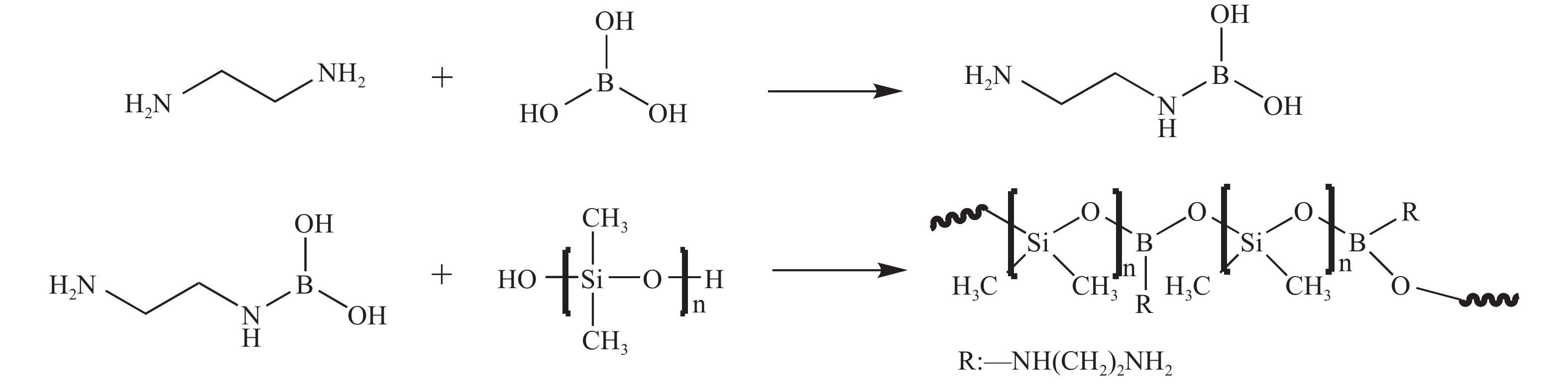
    • 通过多步反应合成了N-PBS(图1):首先通过乙二胺与硼酸反应制备改性硼酸,随后与羟基硅油进行缩聚反应获得目标产物。具体合成步骤如下:①改性硼酸的制备。在氮气(N2)氛围保护下,将200 g去离子水和0.1 mol硼酸加入500 mL的三口烧瓶中,升温至40 ℃并持续搅拌,待溶解完全后加入0.1 mol乙二胺,缓慢搅拌并逐渐升温到80 ℃,恒温反应3 h。反应结束后,趁热将反应液转移至旋蒸瓶,旋蒸除去去离子水,最终得到黄色黏稠产物,即氨基改性硼酸。②N-PBS的合成。采用平衡聚合法制备,将100 g的PDMS置于三口烧瓶中,加入一定量的氨基改性硼酸,充分搅拌至混合均匀。随后,在N2保护下升温至160 ℃,恒温反应4 h。反应过程中应控制搅拌速度,以防止大量水蒸气逸出。反应结束后,除去未反应氨基改性硼酸剂,得到目标产物N-PBS。

      图  1  氨基接枝的聚硼硅氧烷(N-PBS)合成过程

      Figure 1.  Synthesis route of N-PBS

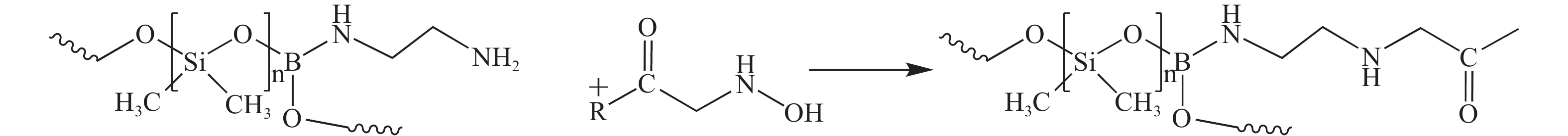
    • 图2为阻燃增韧脲醛树脂(PUF)的合成反应机理。在UF合成的缩聚阶段,加入N-PBS,使得N-PBS链中的氨基与溶液中的一羟甲基脲与二羟甲基脲脱水缩聚得到PUF,其中UF中的R基团主要为—H、—CH2NHOH和UF缩聚物等。具体合成步骤如下:将48.6 g甲醛加入三口烧瓶内,用氢氧化钠溶液调pH至7.4~7.6,搅拌并升温至40 ℃;待温度稳定后,加入第1批9 g尿素,在30 min内升温至90 ℃,保温30 min。随后,加入一定量N-PBS,用氢氧化钠或氯化铵溶液调节pH至4.7±0.1;不断反应并隔5 min取反应液测试水溶比,当水溶比约为2时终止反应。最后用氢氧化钠溶液调节pH至7.5~8.0,加入第2批3 g尿素,保温反应20 min,并冷却至40 ℃后出料。按照脲醛树脂质量百分比,分别添加5%、10%、15%、20%的N-PBS,制备了不同质量比的PUF样品,分别命名为:5%PUF、10%PUF、15%PUF、20%PUF,物理混合加入质量比为5%的N-PBS得到5%PBS/UF材料。

      图  2  PUF的合成反应机理

      Figure 2.  Reaction mechanism of PUF synthesis

    • 通过Nicolet 6700型傅里叶变换红外光谱仪检测PUF样品的化学基团和结构的变化。样品由溴化钾压片法制备,设定扫描波数为4 000~400 cm−1,分辨率4 cm−1,扫描32次。

    • 通过AVANCE Ⅲ 400M型核磁共振波谱仪测试PUF样品的核磁共振氢谱(1H NMR),溶剂为氘代氯仿(CDCl3)。

    • 通过Thermo Fisher Scientific K-Alpha型X射线光电子能谱分析仪,对样品的元素组成和结构进行分析,测试条件以单色化的Al Kα源(1486.6 eV)为射线源。

    • 采用TG 209 F1 Libra型热重分析仪对PUF的热稳定性能进行分析。测试条件:样品质量约为4~8 mg,升温速率为10 ℃·min−1,氮气流量为20 mL·min−1,测试温度区间为30~800 ℃。

    • 杨木(小叶杨Populus simonii)涂层单板的制备:选取尺寸200.0 mm × 200.0 mm × 3.0 mm的杨木单板,将制备好的UF均匀涂抹在杨木单板的一侧,涂胶量约为160 g·m−2,在130 ℃下固化得到杨木单板样品。通过红外热成像仪进行测试,测试样品为杨木单板。采用甲烷气体的火焰喷枪点燃。火焰温度约为1500 ℃、长度为10 mm,点火时间为150 s。观察其饰面板燃烧情况,并用DS-2TPH10型红外热成像仪测量饰面板背部中心温度,测量距离为50 cm。每组测试样板数量为5块,结果取平均值。根据ASTM D 2863标准用JF-3型氧指数测试仪进行极限氧指数分析,测试样品尺寸为125.0 mm×6.5 mm×3.0 mm,每组测试样条数量为15根,结果取平均值。

    • 采用CMT 6104型万能力学试验机对PUF在杨木板上的胶合性能进行测试。双层胶合板的制备方法如下:选取表面光整尺寸为200.0 mm×200.0 mm×3.0 mm的杨木单板,将胶黏剂均匀涂布在杨木板的单面,涂胶量约为160 g·m−2,随后将2块板的胶面贴后,置入平板硫化机中进行热压。

    • 采用SU 8010型冷场发射扫描电子显微镜(SEM)观察PUF杨木单板的残炭结构与胶合板断面。样品提前进行喷金处理,加速电压为3~15 kV。

    • 图3A可见:在800、1060 cm−1处分别是B—O和Si—O—Si的特征吸收峰,N-PBS在3300 cm−1附近新出现了—NH2的特征峰[22],初步表明N-PBS的成功合成。进一步分析PUF的红外光谱,11381015 cm−1的双峰为C—O键的伸缩振动,1384 cm−1附近的弱峰可归因于—CH2、—CH2OH、N—CH2—N基团中的C—H弯曲振动[23]。这些特征峰共同证明了UF的成功合成。与UF相比,PUF在800 cm−1处出现了新的B—O键的特征峰,2960 cm−1处观察到了甲基中C—H键的伸缩振动峰,这表明N-PBS参与了树脂的合成反应,初步证实了PUF的成功制备。

      图  3  N-PBS以及PUF的化学结构分析

      Figure 3.  Chemical structural analysis of N-PBS and PUF

      通过1H NMR对PUF的结构进一步进行表征(图3B)。NMR结果表明:PUF在7.10处的化学位移对应PUF骨架中的—NH2(d),0.14、1.20和2.94处的化学位移分别归属于聚硼硅氧烷结构中的Si—CH3(a)、Si—OH(b)、—CH2(c)[24]。这些峰位的出现证实了N-PBS链 段已成功引入UF的网状结构中,进一步支持了PUF的成功合成。

      通过XPS分析进一步验证了PUF的元素组成和键合形式,PUF的XPS测试结果如图3C~F所示。XPS全谱图3C显示:PUF的表面除了碳(284.8 eV)、氮(401.1 eV)和氧(531.9 eV)之外,还出现了2个新峰,分别对应硅(102.2 eV)和硼(196.9 eV)元素[2526]。从图3E Si 2p光谱图中可以看到,在102.3 eV处出现的峰对应了N-PBS结构中有机Si—O化学键,图3F B 1s光谱图中的193.1 eV对应B—O键[2728]。上述结果充分地表明:N-PBS通过原位聚合反应成功与UF发生化学键合,得到了PUF。

    • 采用TG研究了UF及不同N-PBS添加量的PUF的热稳定性能,结果如图4所示。由图4A可知:未改性UF的5%热失重温度(T5%)为183.4 ℃,最大热分解温度(Tmax)为285.4 ℃。经N-PBS改性后,PUF表现出与UF相似的热稳定性,10%PUF的T5%为186.4 ℃,Tmax为285.4 ℃。由图4B可知:在400~500 ℃的温度区间,PUF出现了1个新的热降解峰[2930],这一特征与PBS/UF复合材料的热降解行为相似。该阶段的降解导致PUF的残炭量略有下降,例如5%PUF在800 ℃时的质量残留率为10.6 %,较未改性UF(12.3 %)降低了1.7%。

      图  4  改性脲醛树脂(PUF)的热重和热重微分曲线

      Figure 4.  TG and DTG curves of PUF

    • 采用红外热成像燃烧试验对PUF的阻燃性进行了分析。图5是材料烧热过程的红外热成像照片以及温度分布图像,图6是红外热成像的升温曲线图。红外热成像测试结果表明:饰面板被点燃后,空白木板及未改性UF饰面板均呈现剧烈燃烧行为,而经N-PBS改性的PUF饰面板的阻燃性能显著提升。图6显示:空白木板与UF饰面板的离火平均温度分别为103.9和123.2 ℃,离火最高温度为412.9和380.5 ℃,添加N-PBS后,PUF饰面板的离火平均温度与离火最高温度显著降低。以10%PUF饰面板为例,其离火平均温度为45.0 ℃,较UF降低了63.6%,离火最高温度为181.5 ℃,降幅达52.3%。随着饰面板的持续燃烧,空白木板与UF饰面板被快速烧穿,其烧穿时间分别为35.5与38.2 s,且燃烧过程中无法自熄。相比之下,PUF饰面板表现出明显延后的烧穿时间,10%PUF饰面板的烧穿时间为110.4 s,较UF饰面板延缓了72.4 s,并表现出自熄特性,自熄时间为143.0 s。从图5中可以看出:在点火初期,PUF饰面板燃烧火势均小于UF饰面板,燃烧结束后,PUF饰面板的结构完整性较好,烧损面积显著小于UF饰面板,且具备自熄特性。以上结果表明:PUF饰面板无论在燃烧初期还是燃烧后期均表现出优良的阻燃性。综上所述,N-PBS的改性有效延缓了UF在燃烧过程中的温度上升速率,显著提升了其阻燃性。

      图  5  UF、PUF与木板在涂层燃烧试验中的数码照片和红外热成像图

      Figure 5.  Photographs recorded in infrared thermographic tests of UF, PUF and wood

      图  6  UF及PUF的红外热成像曲线

      Figure 6.  Infrared thermographic curves of UF and PUF

    • 通过SEM和能量色散光谱仪(EDS)对红外热成像燃烧实验后UF和PUF的炭残留物的微观形貌进行观察分析。微观结构分析表明:UF形成的炭层呈明显碎片化,且存在大量孔隙(图7A1和A2);随着N-PBS添加量的增加,炭层结构逐渐致密化,孔隙和裂纹显著减少,最终形成连续且表面均匀的致密炭层(如图7B~D)。这是因为PUF中的N-PBS热分解产生的含硼化合物可催化成炭,且硅组分在高温下转化为SiO2,覆盖于材料表面,使得PUF炭层更加致密厚实。这种致密炭层能有效阻隔材料与空气接触,抑制热量和氧气的传递,从而延缓燃烧过程[3132]。EDS(图7E)表明:残炭中含有硼与硅元素,其质量分数分别约为5%和4%,进一步证实了上述阻燃作用。

      图  7  UF及PUF的残炭SEM照片与EDS能谱图

      Figure 7.  SEM images of carbon residues from UF, PUF and 10%PUF EDS spectrum

    • 图8所示:未改性UF胶合板在受热后剧烈燃烧,其中胶层中的UF受热分解产生HCN和HNCO等有毒气体,且火势极易蔓延,存在严重的火灾隐患。经N-PBS改性后的PUF的阻燃性能明显提高,在燃烧时于胶合板表面形成致密炭层,该炭层作为物理屏障,可有效阻碍热传导和氧气传递,从而延缓燃烧,起到凝聚相阻燃作用。这种致密炭层的形成源于B—Si协同阻燃效应:在没有硼的情况下,硅氧烷链转化为硅酸盐灰分,形成不连续的物理阻隔层;N-PBS中的硼可催化材料成炭,硅在高温下氧化形成SiO2,抑制炭层氧化并覆盖于材料表面,增强炭层致密性和氧化稳定性[3334]。因此,硼和硅的协同作用最终形成具有高氧化稳定性的连续炭层,实现良好的协同阻燃效果[35]。此外,N-PBS上的氨基增加了脲醛树脂的氮,促使燃烧过程中生成惰性气体NH3,虽伴随少量HCN和HNCO的产生,却也能稀释氧气并消耗氧气分解为CO2和氮化物,发挥气相阻燃作用[36]。因此,改性的PUF通过气相和凝聚相的协同作用,显著提升了脲醛树脂胶合板的防火安全性。

      图  8  PUF的阻燃机理示意图

      Figure 8.  Schematic illustration of flame-retardant of PUF

    • PUF的胶合强度如图9A所示。未改性UF的干湿胶合强度分别为1.04和0.89 MPa,符合GB/T 9846—2015《普通胶合板》Ⅱ类胶合板胶合强度标准。引入N-PBS后,PUF胶合板的胶合强度呈现出先升后降的趋势,其中添加量为5%的N-PBS表现出最佳的胶合性能:其干胶合强度为1.27 MPa,较UF提高了22.1%;湿胶合强度为0.85 MPa,较UF略有下降。这是因为PBS具有良好的交联能力和与UF的化学相容性,有助于形成稳定的三维网络结构,从而提高力学性能和材料密度。

      图  9  UF及不同PUF的干湿胶合强度和饰面纸的卷曲半径

      Figure 9.  Bonding strength and curl radius test of impregnated paper by UF and different PUFs

      通过卷曲半径测试研究PUF的韧性,结果如图9B所示。未改性UF浸渍纸的卷曲半径为3.9 mm。随着N-PBS的加入,PUF浸渍纸的韧性明显改善,10%PUF浸渍纸的卷曲半径为3.0 mm,较UF减小了23.1%;物理共混的5%PBS/UF复合材料浸渍纸的卷曲半径为3.7 mm,相较UF未见改善。表明通过化学改性将N-PBS柔性链引入UF分子结构中,可显著增强其固化后的韧性,有效改善了UF在浸渍纸应用中脆性大的缺陷。

      为了探究N-PBS对UF胶合板的影响机制,利用SEM对UF及PUF胶合板的拉伸断裂面进行形貌分析,如图10所示。从宏观形貌看,未改性的UF胶合板断面呈现典型脆性断裂特征,表面光滑平整,这与其作为脆性热固性树脂的本质特性相符。如图10A1~C1及图中箭头所示,经N-PBS改性后,PUF胶合板断面断裂面粗糙度明显增加,并出现大量撕裂状结构,表明胶层在拉伸破坏过程中需要消耗更多能量。该形貌差异结果表明:添加10%~15%的N-PBS改性可在一定程度上调控UF交联密度,从而改善胶合板的胶合强度。

      图  10  UF以及PUF胶合板的拉伸断面SEM照片

      Figure 10.  SEM images of the tensile fracture surfaces of UF and PUF plywood

    • 本研究通过氨基接枝聚硼硅氧烷(N-PBS)对脲醛树脂(UF)进行改性,成功制备了兼具阻燃性和力学性能的PUF。相较于物理共混法,采用原位聚合制备的改性UF因通过化学键合形成稳定的B—O—Si结构,不仅实现了N-PBS在UF基体中的均匀分布,且显著增强了其阻燃性能。在燃烧过程中,PUF可形成致密炭层,有效阻隔热量和氧气传递;同时,得益于引入N-PBS的Si—O—Si柔性链,UF的力学性能也得到改善,其胶合强度和柔韧性提高,断面呈现韧性断裂特征。然而,该研究尚未考察N-PBS对UF固化速率及甲醛释放量的影响,且工业化生产成本仍需优化。未来可进一步探索N-PBS在其他甲醛基树脂中的应用,为开发高性能的甲醛类树脂提供新思路,推动改性树脂的实用化发展。

    • 本研究通过乙二胺改性PBS制备了氨基接枝聚硼硅氧烷(N-PBS),并将其作为柔性链段通过原位聚合成功引入UF,构建了具有多功能性的PUF。研究结果证实了N-PBS和PUF的成功合成,并表明N-PBS可显著提升UF的阻燃性与韧性。当添加10%N-PBS时,PUF改性的饰面板烧穿时间延长72.2 s,离火平均温度和最高温度分别下降63.6%和52.3%,并表现出良好的自熄特性。其干、湿胶合强度分别达1.36和0.76 MPa,较纯UF显著提高,韧性改善幅度达23.1%,所有性能均满足国家Ⅱ类胶合板标准。通过在UF主链上引入N-PBS柔性链段并构建化学交联,有效协同改善了PUF的阻燃性能、胶合强度和韧性,为开发高性能阻燃且增韧的UF提供了新途径,扩展了UF在胶合板与饰面纸领域的高值化应用潜力。

参考文献 (36)

目录

    /

    返回文章
    返回