留言板

尊敬的读者、作者、审稿人, 关于本刊的投稿、审稿、编辑和出版的任何问题, 您可以本页添加留言。我们将尽快给您答复。谢谢您的支持!

姓名
邮箱
手机号码
标题
留言内容
验证码
优先发表栏目展示本刊经同行评议确定正式录用的文章。这些文章目前处在编校过程,尚未确定卷期及页码,但可以根据DOI进行引用。本栏目内容尚未正式出版,未经编辑部许可,不得转载。
花椒花芽分化进程及其内源激素的变化
李正银, 李莲芳, 范怀刚, 王文俊, 李超, 曾清贤, 崔华栋, 周春丽
当前状态: doi: 10.11833/j.issn.2095-0756.20260129
[摘要](0) [HTML](0) [PDF](0)
摘要:
  目的  观察花椒‘小龙袍’Zanthoxylum bungeanum‘Xiaolongpao’花芽分化进程,明确花芽形态与结构的对应关系,解析内源激素及其比值的动态变化对花芽分化的影响,为花椒花果调控和栽培管理提供科学依据。  方法  于2024年5月23日至2025年3月31日,在云南省昭通市鲁甸县龙树镇花椒基地连续采样32次。采用石蜡切片技术结合形态观测,分析‘小龙袍’花椒花芽分化进程的形态与结构变化,划分典型阶段并确定其起始及延续时间;运用超高效液相色谱串联质谱法测定花芽不同分化阶段的脱落酸(ABA)、赤霉素(GA3)、生长素(IAA)和玉米核苷素(ZR)质量分数,分析其质量分数及比值的动态变化。  结果  ‘小龙袍’花椒花芽分化过程分为6个时期:未分化期(Ⅰ期)、分化开始期(Ⅱ期)、花序轴分化期(Ⅲ期)、花蕾分化期(Ⅳ期)、萼片分化期(Ⅴ期)和雌蕊分化期(Ⅵ期),花芽分化进程历时约10个月,不同分化期存在重叠现象;Ⅱ期为花芽分化的启动临界期,始于5月下旬下半期;Ⅰ~Ⅵ期的腋芽尺寸与形态呈现极显著的阶段变化(P<0.01)。不同分化期的内源激素质量分数及比值变化均呈现极显著的差异(P<0.01):Ⅰ~Ⅴ期ABA和GA3质量分数持续极显著下降(P<0.01),Ⅵ期略回升;IAA和ZR质量分数则均在Ⅲ期达到峰值,Ⅴ期最低;ABA/GA3和ZR/GA3从Ⅰ~Ⅳ期逐渐升高,Ⅳ期达最高后下降;ABA/IAA和ZR/IAA则在Ⅴ期达到峰值。  结论  ‘小龙袍’花椒花芽不同分化期花芽解剖结构与形态密切相关,分化延续时间较长;内源激素质量分数及比值的变化极显著地影响花芽分化的启动与结构建成。生产中可在其关键期人为调控花芽的分化。图3表2参38
闽楠PHT基因家族鉴定及在低磷胁迫下的表达分析
倪明阳, 朱媛媛, 付宁宁, 王立, 刘延, 童再康, 张俊红
当前状态: doi: 10.11833/j.issn.2095-0756.20250312
[摘要](7) [HTML](3) [PDF](0)
摘要:
  目的  闽楠Phoebe bournei是中国南方重要的珍贵树种,其人工林生产力受低磷胁迫制约。本研究旨在全基因组范围鉴定闽楠PHT基因家族,分析其在低磷胁迫下的表达模式,筛选受低磷胁迫诱导的主要PHT成员,为开发磷高效利用标记基因及选育、创制耐低磷种质提供科学依据。  方法  基于闽楠全基因组数据,利用生物信息学方法鉴定PHT基因家族成员,分析其理化性质、系统发育、染色体定位及顺式作用元件;通过低磷胁迫处理不同家系闽楠幼苗,结合实时定量PCR (RT-qPCR)技术检测PHT表达模式。  结果  从全基因组范围鉴定出48个闽楠PHT基因,不均匀分布于12条染色体(如LG02染色体含11个),分为PHT1~PHT5共5个亚家族,其中PHT3亚家族成员数量最多(24个)。顺式作用元件分析显示:PHT基因启动子区富含激素(40.6%)和胁迫响应元件(20.6%),其中茉莉酸甲酯(304个)和脱落酸响应元件(248个)占比最高。低磷胁迫下,PHT基因呈家系和组织特异性表达,如PbPHT3.7在低磷胁迫的“靖安”家系根系中表达上调11倍,“宜丰”家系中PbPHT5.1上调4倍;茎叶中PbPHT3.21等表达模式在家系间显著分化。  结论  从闽楠基因组鉴定出48个PHT基因,并筛选到低磷胁迫特异诱导表达的候选基因,为闽楠磷高效品种选育提供了关键靶基因,并为樟科Lauraceae植物磷信号网络解析提供了新视角。图6表1参32
水稻叶际微生物对富硅-磁性生物质炭修复镉砷复合污染土壤的响应
王佳豪, 陈瑶, 章煜, 赵科理, 吴骥子
当前状态: doi: 10.11833/j.issn.2095-0756.20250276
[摘要](14) [HTML](3) [PDF](0)
摘要:
  目的  针对土壤镉(Cd)和砷(As)复合污染治理难的问题,旨在揭示富硅-磁性生物质炭(SBC)通过“材料-微生物-基因”多维调控实现水稻安全生产的机制。  方法  以SBC为修复材料开展水稻Oryza sativa盆栽试验,测定土壤理化性质与水稻生理指标,并结合宏基因组学技术,深入解析材料修复效果及叶际微生物群落结构与功能基因的响应机制。  结果  盆栽试验表明:SBC处理显著促进了水稻生长(P<0.05),分蘖期与成熟期生物量提升26.7%~46.7%,株高增加18.0%~25.0%,同时有效阻控重金属转运,使籽粒Cd、As质量分数分别显著降低51.1%和55.6% (P<0.05)。在微生态层面,SBC显著提高了分蘖期叶际微生物\begin{document}$ \text{α} $\end{document}多样性(P<0.05),并增强了共生网络稳定性,定向优化群落组成,使病原菌南极莫斯酵母Moesziomyces antarcticus和菠萝泛菌Pantoea ananatis丰度分别降低30.9%和75.1%,而促生菌粘着剑菌Ensifer adhaerens和玫瑰形根瘤菌Rhizobium rosettiformans丰度分别大幅增加379.8%和108.2%。功能基因分析显示:SBC诱导Cd外排基因(czcD、cad2)和As外排基因(acr3等)丰度分别提升227.0%和94.2%,同时下调As还原基因(arsC)与抗As蛋白基因(acr2)丰度,促使微生物代谢功能向细胞过程与遗传信息处理增强的方向重构。  结论  SBC通过钝化土壤重金属与重塑叶际微生态的双重作用,激活微生物重金属外排通路,并抑制As向高毒形态转化,从而有效阻控Cd-As向水稻籽粒转运。图5表2参47
“双碳”背景下园林绿化废弃物堆肥气体排放与调控研究进展
王辉, 孙向阳, 李素艳, 李雅琳, 王迪
当前状态: doi: 10.11833/j.issn.2095-0756.20250592
[摘要](12) [HTML](4) [PDF](0)
摘要:
园林绿化废弃物作为一种高木质纤维素、高碳氮比(C/N)的生物质资源,其堆肥化处理是促进资源化利用的有效途径。然而,堆肥过程中产生的温室气体[二氧化碳(CO2)、甲烷(CH4)和一氧化二氮(N2O)]和氨气(NH3)不仅会污染生态环境,还会造成营养元素流失,成为“双碳”目标下亟待解决的难题。本文系统综述了园林绿化废弃物堆肥的原料组成、理化特性,深入分析了堆肥过程中CO2、CH4、N2O和NH3的产生机制与排放规律,探讨了温度、pH、C/N、水分等关键因素的影响,并全面总结了原料预处理、混合原料调控、堆肥工艺优化及添加剂应用等主要减排技术的作用机制与实施效果。未来应进一步研究气体精准监测、微生物作用机制、专用菌剂、温室气体和NH3排放预测模型,并研发多气体协同减排技术,以促进园林绿化废弃物堆肥的绿色低碳转型和可持续发展。表1参84
露地蔬菜土壤细菌群落对有机肥与土壤调理剂配施的短期响应特征
石陆昳, 徐睿, 邬奇峰, 童晓冬, 章林玲, 马行聪, 秦华
当前状态: doi: 10.11833/j.issn.2095-0756.20250403
[摘要](30) [HTML](14) [PDF](3)
摘要:
  目的  探究有机肥、土壤调理剂及其施用量影响露地蔬菜土壤细菌群落的短期效应。  方法  2023年在浙江省杭州市临安区绿源蔬菜基地进行双因素随机区组试验,每个处理3个重复,研究不施调理剂(NSC)、低调理剂(0.75 t·hm−2,LSC)和高调理剂(1.50 t·hm−2,HSC)下不施用有机肥(NOF)、低有机肥(4.50 t·hm−2,LOF)和高有机肥(7.50 t·hm−2,HOF)等处理对露地蔬菜(茄Solanum melongena)土壤养分和细菌群落结构的影响。  结果  土壤调理剂施用量增加显著提升土壤pH以及速效钾、有效磷、有机质质量分数(P<0.05);有机肥施用量增加提升了土壤有机质质量分数,但有效磷显著下降(P<0.05)。不同施肥处理对土壤细菌群落α多样性均无显著影响。高调理剂处理下,低有机肥处理显著提高了厚壁菌门Firmicutes和热变形菌门Thermoproteota的相对丰度。在不施有机肥处理下,低调理剂处理显著提高了索丝菌属Kouleothrix的相对丰度(P<0.05)。相关分析表明:放线菌门Actinobacteriota、变形菌门Proteobacteria和厚壁菌门相对丰度与土壤pH和土壤有效磷呈显著正相关(P<0.05),黏菌门Myxococcota与土壤碱解氮、全氮和阳离子交换量呈显著正相关(P<0.05)。土壤有效磷、碱解氮、全氮和阳离子交换量是影响土壤细菌群落结构的主要环境因子。共现网络分析表明:土壤调理剂和有机肥施用均改变了土壤细菌共现网络模式,高调理剂和高有机肥处理均提高了细菌共现网络的复杂度。  结论  1.50 t·hm−2调理剂处理能够改善土壤养分供应水平,优化土壤细菌群落结构,提升土壤健康水平,高调理剂与低有机肥配合施用效果最好。高有机肥处理更有利于茄种植土壤的健康。图6表4参34
晋西黄土区油松林分改造中造林措施对辽东栎苗木生长的影响
王雅君, 张建军, 胡亚伟, 李阳, 何苗苗, 吴金皎, 艾子豪
当前状态: doi: 10.11833/j.issn.2095-0756.20250514
[摘要](22) [HTML](12) [PDF](3)
摘要:
  目的  辽东栎Quercus liaotungensi是华北地区油松Pinus tabulaeformis人工林改造的优选混交树种。明确造林措施对油松人工林下辽东栎苗木生长的影响,为低效油松林改造和松栎混交林构建提供依据。  方法  以山西省吉县蔡家川流域油松人工林为研究对象,在林外、林缘、林内分别设置样地,开展辽东栎栽植试验。试验共设置15种处理方式,包括无处理(ck)、浇水处理(500、1 000、1 500、2 000 mL·株−1)、覆盖处理(覆盖地膜、覆盖凋落物45、90、135、180 g·株−1)及保水剂处理(10、20、30、40、50 g·株−1)。定期监测存活率、苗高、地径、冠幅、叶片数量和单叶面积等指标,探究不同造林措施的效果。  结果  ①林外、林缘、林内所需的最优浇水用量依次减少,分别为2 000、1 500和1 000 mL·株−1;②林外、林缘、林内所需的最优覆盖量逐渐递减,分别为135、90和45 g·株−1;③林外、林缘、林内栽植时保水剂最佳使用量逐渐递减,分别为40、20和10 g·株−1;④林缘栽植的辽东栎存活率和生长状况最好,林内次之,林外最差;⑤熵权-TOPSIS法综合评价表明:林外使用保水剂40 g·株−1、林缘使用保水剂20 g·株−1和林内覆盖凋落物45 g·株−1时,对辽东栎苗木生长效果的促进作用最佳。  结论  利用辽东栎对油松人工林进行更新改造时,需根据生境特点选择适配性措施,营造块状混交林时宜优先选用保水剂,株间混交或行间混交时宜加强栽植穴的覆盖,以提升苗木成活率与生长质量。图3表8参38
色季拉山杜鹃花属植物叶功能性状特征及其资源权衡分析
郭文文, 白有志, 卓么草, 王超, 邢震, 罗大庆
当前状态: doi: 10.11833/j.issn.2095-0756.20260119
[摘要](55) [HTML](23) [PDF](6)
摘要:
  目的  探究色季拉山杜鹃花属Rhododendron植物的叶功能性状及其组合特征,系统分析该区域杜鹃花属植物的生态策略差异,为高寒山地生物多样性保护和管理提供理论依据。  方法  选取色季拉山13种杜鹃花属植物为研究对象,选择叶面积、叶厚度、叶干物质质量分数等16个叶功能性状,计算各性状的变异系数,探究叶功能性状特征及其相互关系,构建杜鹃花属植物的叶经济谱。  结果  色季拉山杜鹃花属植物叶功能性状的变异系数为10.67%~120.29%,其中叶干质量和叶面积属于强变异,比叶面积、海绵组织厚度、栅栏组织厚度、叶碳氮比、叶氮质量分数、叶磷质量分数、叶形指数、叶碳磷比、叶厚度、叶氮磷比属于中等变异,其余性状属于弱变异,且杜鹃花属植物叶性状种间变异系数普遍高于种内变异系数。杜鹃花属植物在生长和防御能力之间存在“此消彼长”的权衡关系,达到平衡植物生存、生长、繁殖的目的。山育杜鹃R. Oreotrephes、草莓花杜鹃R. fragariiflorum、鳞腺杜鹃R. lepidotum、雪层杜鹃R. nivale、林芝杜鹃R. nyingchiense、柳条杜鹃R. virgatum和三花杜鹃R. triflorum倾向于“快速投资-收益型”策略,白毛杜鹃R. vellereum、鲁朗杜鹃花R. lulangense、光蕊杜鹃R. coryanum、硬毛杜鹃R. hirtipes、栎叶杜鹃R. phaeochrysum和黄杯杜鹃R. wardii倾向于“缓慢投资-收益型”策略。  结论  色季拉山杜鹃花属植物通过调整叶片功能性状,形成了2种不同的资源权衡策略,反映了植物功能性状间的资源权衡关系以及不同物种生态位的分化。图4表3参73
预培养对尾巨桉DH32-29遗传转化效率的影响
王学君, 张双, 于茹恩, 杨珺, 曾炳山, 范春节
当前状态: doi: 10.11833/j.issn.2095-0756.20250347
[摘要](52) [HTML](20) [PDF](7)
摘要:
  目的  为获得稳定、高效的遗传转化效率,得到大量转基因株系和创制优良品种,研究不同预培养时间对尾巨桉Eucalyptus urophylla × E. grandis DH32-29遗传转化的影响。  方法  尝试精细化调整不同预培养时间,通过5-乙炔基-2'-脱氧尿苷(EdU)染色和流式细胞仪检测DNA合成期(S期)细胞周期的细胞数量,采用实时荧光定量PCR (RT-qPCR)检测S期相关基因EgrCDKD3EgrCYCD3;3EgrCYCD1;1EgrCYCH1;1的表达量,确定尾巨桉DH32-29稳定遗传转化的最佳处理时间。  结果  外植体叶片不同的预培养时间影响了尾巨桉DH32-29叶片的瞬时转化效率和稳定转化效率。预培养3 d时,外植体S期细胞数量占比最高,S期关键基因EgrCDKD3EgrCYCD3;3EgrCYCD1;1EgrCYCH1;1表达量达到峰值,表明预培养3 d时,外植体适宜进行农杆菌Agrobacterium tumefaciens的浸染。稳定转化表明:预培养3 d能大幅度提高农杆菌介导的桉树遗传转化效率,将最初转化效率从0.77%提高至4.67%。  结论  预培养对于农杆菌介导的桉树遗传转化效率至关重要,经过3 d预培养可有效提高桉树的遗传转化效率。图7表1参28
干旱胁迫下外源精胺和亚精胺浸种对小麦萌发生长的影响
杨晓菲, 张梦妍, 张树军
当前状态: doi: 10.11833/j.issn.2095-0756.20250337
[摘要](58) [HTML](23) [PDF](7)
摘要:
  目的  探究精胺和亚精胺对干旱胁迫下小麦Triticum aestivum萌发生长的调节作用,为利用外源精胺和亚精胺增强小麦抗旱能力提供参考。  方法  以小麦‘百农201’‘Bainong201’和‘矮抗58’‘Aikang 58’种子为材料,利用0.05、0.10和0.20 mmol·L−1的精胺和亚精胺浸种,以蒸馏水浸种为对照(ck),测定聚乙二醇(PEG-6000)模拟干旱胁迫下小麦萌发时期的生长和生理指标。  结果  ①PEG-6000胁迫抑制了小麦的萌发和生长,与ck相比,小麦2个品种的发芽率、根长、芽长及叶绿素质量分数均随着PEG-6000质量浓度的增加而显著下降(P<0.05),而丙二醛质量摩尔浓度、脯氨酸质量分数和过氧化物酶活性显著升高(P<0.05);②外源精胺和亚精胺浸种可显著提高干旱胁迫下小麦2个品种的种子发芽率、根长和芽长(P<0.05),减缓叶绿素降解,抑制丙二醛积累,提升过氧化物酶活性与脯氨酸质量分数,可稳定细胞内环境,缓解干旱胁迫产生的抑制作用;③隶属函数法分析表明:精胺和亚精胺浸种对‘百农201’干旱胁迫的缓解效果优于‘矮抗58’,其中0.10 mmol·L−1亚精胺浸种对干旱胁迫下幼苗生长的调节效应更为显著(P<0.05)。  结论  适宜浓度的外源精胺和亚精胺可通过减缓叶绿素降解、提高过氧化物酶活性、增加渗透调节物质积累、降低膜脂过氧化程度增强小麦抗旱性,其中0.10 mmol·L−1亚精胺浸种效果最优。图8表2参42
鲁中南山地麻栎人工林土壤剖面碳组分及生态化学计量特征
王晨羽, 李申奥, 赵勇, 张义群, 马舒琪, 韩文昊, 王延平
当前状态: doi: 10.11833/j.issn.2095-0756.20250339
[摘要](65) [HTML](28) [PDF](8)
摘要:
  目的  土壤剖面碳组分及生态化学计量特征能够客观反映森林凋落物碳氮磷向土壤输入的过程。研究栎类人工林土壤剖面发育过程中碳氮磷的生态化学计量特征,可为栎林土壤生态功能的科学评估以及长期生产力维持提供理论依据。  方法  以地处暖温带的山东省药乡国有林场麻栎Quercus acutissima人工林为研究对象,将土壤剖面按照腐殖质层、淋溶层和淀积层进行划分并取样,分析不同剖面层次间土壤总有机碳及其各碳组分、土壤氮磷钾等养分的差异。  结果  ①麻栎人工林土壤剖面有机碳及各碳组分质量分数、氮磷钾等养分质量分数从大到小依次为腐殖质层、淋溶层、淀积层,且腐殖质层碳及养分质量分数显著高于淋溶层和淀积层(P<0.05)。②麻栎人工林养分和碳组分具有很强的耦合性,土壤主要受碳氮的协同影响,其中碳元素的影响强度高于氮元素。③碳氮比(C/N)随着土层深度的增加而增大,碳磷比(C/P)、氮磷比(N/P)都随着土层深度的增加而降低。  结论  麻栎人工林土壤剖面层次间碳氮磷存在较大差异,有机碳组分与土壤养分的强耦合性指示麻栎林土壤养分转化效率较高,森林土壤养分循环处于良性状态。因此,在经营管理中应注重土壤剖面层次间的差异性,保留林下凋落物层,确保森林凋落物养分的可持续归还。图4表1参41
红花香椿家系生长和心材性状早晚相关性及早期选择年龄确定
胡婧怡, 缪强, 陈永辉, 郑成忠, 徐清福, 胡卫明, 刘军, 邱勇斌
当前状态: doi: 10.11833/j.issn.2095-0756.20250380
[摘要](62) [HTML](27) [PDF](11)
摘要:
  目的  以红花香椿Toona rubriflora家系子代测定林为研究对象,测定、分析其不同年龄生长和材性性状的相关性,确定红花香椿的最佳早期选择年龄。  方法  以59个红花香椿半同胞子代家系为材料,通过测定其3,6,7,11和15 a的树高、胸径、枝下高、冠幅等生长性状,和心材率及心材体积等材性性状。在此基础上,利用R语言进行相关分析探究各性状间的关联性,并通过主成分分析(PCA)对多个性状进行降维处理,评价植株生长与材性性状表现。  结果  随着红花香椿年龄的增加,多数性状间的皮尔逊相关系数呈现逐年上升趋势,表明性状协同性随年龄增强。6 a树高和胸径与15 a的树高、胸径、材积和心材体积等性状之间表现为极显著正相关,但7 a性状与15 a性状的相关系数普遍高于6 a性状的相应值。主成分分析显示,7 a的树高(H7)和胸径(D7)对前2个主成分(PC1和PC2)的贡献率高于6 a。早期选择效率评估表明,以树高和胸径为选择指标时,7 a对材积和心材体积的选择效率大,分别达到了1.29、1.34和1.34、1.36。  结论  红花香椿7 a是早期选择的最佳年龄,以树高和胸径作为选择指标,能够有效预测成年表现,提高选择效率,缩短育种周期。图2表2参42
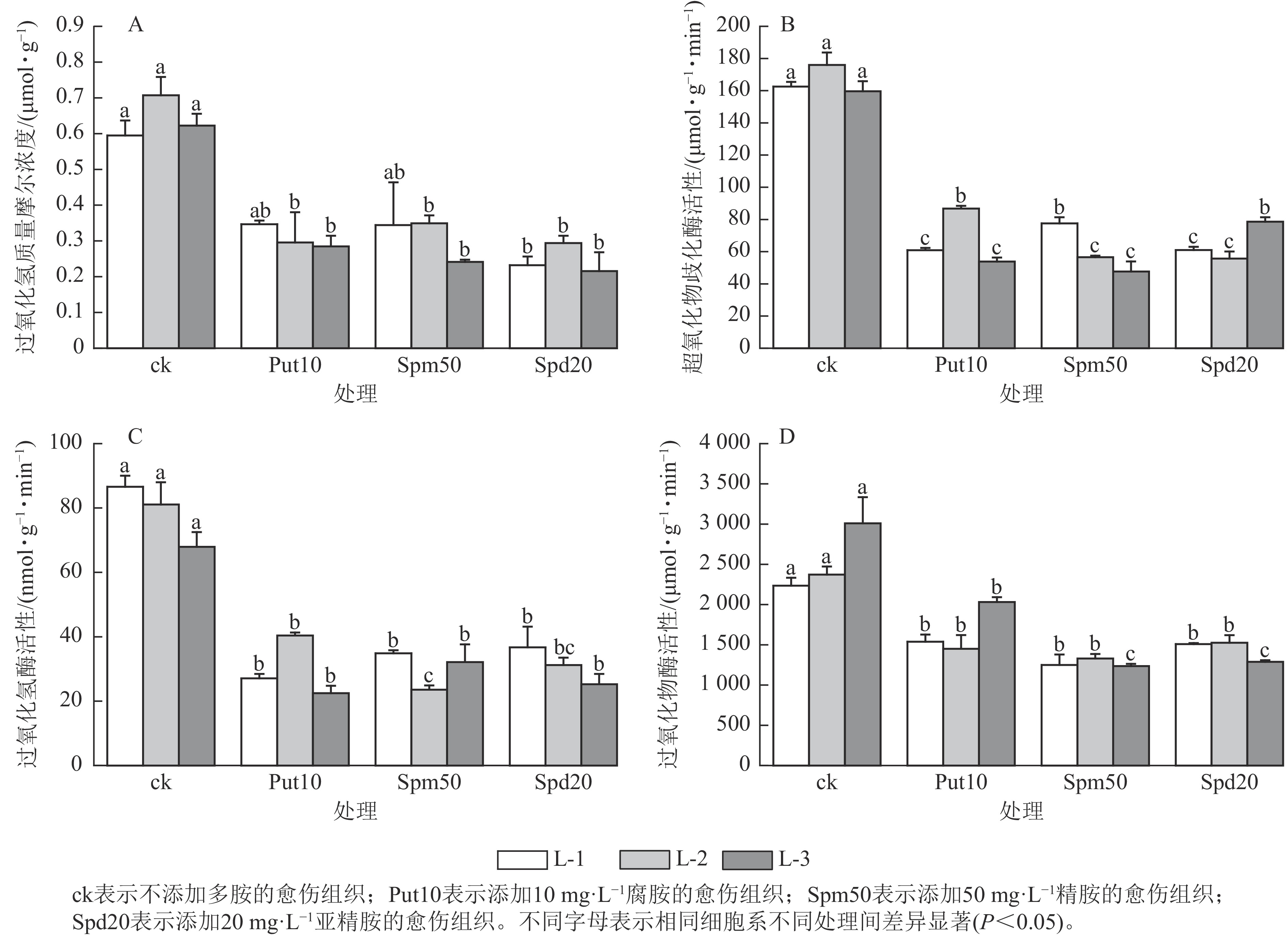
外源多胺对银杏悬浮细胞生长及类黄酮合成的影响
鞠定顺, 狄晶晶, 陈颖, 刘瑞, 蔡昊
当前状态: doi: 10.11833/j.issn.2095-0756.20250518
[摘要](69) [HTML](29) [PDF](10)
摘要:
  目的  探究多胺对银杏Ginkgo biloba悬浮细胞生长和类黄酮代谢的调控作用,为构建和优化银杏遗传转化体系、酶活性底盘控制、规模化生物合成有用药物提供理论和技术支持。  方法  以银杏悬浮细胞为材料,分别将不同浓度(0.5、1.0、3.0 mmol·L−1)的腐胺(Put)、亚精胺(Spd)和精胺(Spm)加入到悬浮细胞培养液中,分别标记为Put 0.5、Put 1.0、Put 3.0,Spm 0.5、Spm 1.0、Spm 3.0,Spd 0.5、Spd 1.0和Spd 3.0,以不添加多胺的处理为对照,培养7 d后,研究多胺对细胞液pH、电导率、细胞光合色素、总类黄酮及总萜内酯质量分数及黄酮合成关键酶活性的影响。  结果  多胺处理的浓度越大,细胞液的电导率和pH越高;低浓度的腐胺处理(Put 0.5~Put 1.0)有利于细胞团的生长,细胞颜色呈黄绿色,总叶绿素、类胡萝卜素、类黄酮和萜内酯质量分数提高,如Put 0.5处理的总类黄酮和总萜内酯分别比对照增加了65.1%和38.5% (P<0.05);Spm 0.5~Spm 1.0 及Spd 0.5处理的细胞呈黄褐色,类胡萝卜素、总类黄酮和总萜内酯的积累也显著提高,如Spm 1.0处理的总类黄酮、 Spm 0.5及Spd 0.5处理的总萜内酯分别比对照提高了27.4%、27.1%和 20.1% (P<0.05)。3种多胺对悬浮细胞类黄酮合成关键酶活性的影响也表现出浓度效应,Put 1.0 处理的4-香豆酸辅酶A连接酶、Spm 1.0处理的苯丙氨酸解氨酶和查尔酮合成酶活性比对照提高的程度最大,分别达36.8%、21.5%和61.9% (P<0.05);Put 0.5、Spm 1.0与Spd 0.5处理的肉桂酰辅酶A还原酶的活性分别比对照提高2.0倍左右;Put 0.5处理的肉桂醛脱氢酶及Put 0.5、Spm 1.0 处理的二氢黄酮醇还原酶分别比对照提高了52.6%、123.2%和105.2% (P<0.05)。  结论  Put 0.5~Put 1.0、Spm 1.0处理对细胞生长和总类黄酮、总萜内酯的积累都是最有利的。多胺,特别是腐胺能够促进类黄酮的生物合成,但Spd 3.0和Spm 3.0处理对细胞生长、总类黄酮和总萜内酯的积累不利。图6参42
贺兰山东麓不同生态区‘霞多丽’葡萄果实品质和葡萄酒香气特征
李琳馨, 李文超, 杨彭程, 马丹阳, 王振平, 李栋梅
当前状态: doi: 10.11833/j.issn.2095-0756.20250264
[摘要](81) [HTML](35) [PDF](12)
摘要:
  目的  探究宁夏贺兰山东麓产区不同风土条件对葡萄Vitis vinifera果实中氨基酸积累及葡萄酒香气形成的影响,为优化该产区葡萄种植风土选择及提升葡萄酒品质提供理论依据。  方法  以宁夏贺兰山东麓永宁、青铜峡、银川3个产区4个地块(玉泉、御马、西鸽和志辉)的‘霞多丽’V. vinifera ‘Chardonnay’葡萄果实及其酿造的葡萄酒为研究对象,检测果实氨基酸组成与质量浓度,并解析葡萄酒中的挥发性成分。  结果  在4个地块的葡萄果实中,氨基酸总量志辉地块最高,为6 876.62 mg·L−1,玉泉最低,为3 873.65 mg·L−1,4个地块中御马与西鸽之间差异不显著,但其他2个地块之间差异显著(P<0.05);不同地块葡萄果实的丙氨酸、精氨酸、苯丙氨酸和酪氨酸的质量浓度差异显著(P<0.05),而甘氨酸和脯氨酸的差异更为突出。4个地块葡萄酒的香气成分主要由4大类物质构成,共占总香气成分的95.1%,其中高级醇类占49.3%,脂肪酸乙酯类占22.2%,其他酯类占12.6%,脂肪酸类占11.0%。利用正交偏最小二乘判别分析(OPLS-DA)可较好地区分4个地块,其中御马和西鸽组间差异较小,可归为一类。通过变量投影重要性(VIP)得分图可显著区分地块的香气物质为8种,其中异戊醇、十三酸乙酯、乙基9-癸烯酸酯、辛酸乙酯、异丁醇为御马和西鸽葡萄酒的主要特征物质;苯乙醇、邻苯二甲酸二乙酯、邻苯二甲酸二甲酯为玉泉葡萄酒的主要特征物质。  结论  宁夏贺兰山东麓各子产区‘霞多丽’葡萄果实氨基酸积累和葡萄酒的香气特征均受到风土条件差异的影响,其中,丙氨酸受生态条件影响最大,并对葡萄酒的香气物质高级醇类有突出贡献。图5表5参33
长期氮添加对杉木人工林土壤团聚体微生物量碳氮磷、酶活性及其化学计量特征的影响
严文瑾, 朱丽琴, 李静凯, 刘萍渝, 肖有亮, 习航天, 万亚辉, 方芮, 淦文涛
当前状态: doi: 10.11833/j.issn.2095-0756.20250354
[摘要](73) [HTML](49) [PDF](15)
摘要:
  目的  阐明杉木Cunninghamia lanceolata人工林土壤团聚体微生物量碳(MBC)、微生物量氮(MBN)、微生物量磷(MBP)、水解酶活性及其化学计量特征对长期氮添加的响应,为评估氮沉降对亚热带森林土壤微域过程的影响提供依据。  方法  基于2004年建立的氮添加长期试验(N0:0,N 1:60,N2:120,N3:240 kg·hm2·a1),于2024年采集0~10 cm土层团聚体,分离出粗大(>2.00 mm)、细大(0.25~2.00 mm)和微团聚体(<0.25 mm)3个粒径,分析团聚体MBN、MBN、MBP质量分数、水解酶活性及其化学计量特征。  结果  相较于微团聚体,细大和粗大团聚体的MBN质量分数分别低23.61%和32.65%,而MBP质量分数分别高16.74%和27.27%,MBC/MBN分别高13.87%和22.84%;N1处理下微团聚体MBC/MBP和MBN/MBP分别比N0高97.57%和85.51%,且细大和粗大团聚体的MBC/MBP较微团聚体分别低53.72%和64.43%,MBN/MBP分别低60.25%和72.89%。长期施氮使微团聚体酸性磷酸酶(AP)活性降低了44.14%~56.67%,N0处理下细大和粗大团聚体的AP活性分别比微团聚体低54.84%和53.92%,而其他酶活性无显著变化。团聚体酶碳磷比和酶氮磷比低于全球水平,且不受氮添加影响。MBC/MBN与AP活性呈负相关。  结论  在长期氮添加下,微团聚体响应最敏感;氮输入通过重构团聚体结构驱动微生物养分分配策略转变,表现为大团聚体中微生物增强磷捕获能力并减少氮储存,而微团聚体则维持高磷固持策略;同时,微生物通过减少生物量积累并调控磷酸酶合成来应对亚热带杉木林生态系统的磷限制。图5参42
丝氨酸与丙氨酸对秀珍菇菌种退化与复壮的影响
叶丽云, 冯海莺, 吴小平
当前状态: doi: 10.11833/j.issn.2095-0756.20250216
[摘要](95) [HTML](35) [PDF](16)
摘要:
  目的  探究丝氨酸(Ser)和丙氨酸(Ala)对秀珍菇Pleurotus pulmonarius菌种退化及复壮的影响,为解决菌种稳定性差、易退化的产业瓶颈提供理论依据。  方法  以秀珍菇菌株JX-2为材料,通过马铃薯葡萄糖琼脂(PDA)培养基连续继代培养10代建立退化模型,设置添加Ser或Ala实验组进行对比培养。系统测定菌丝生长速度、生物量及粗多糖、总蛋白等生化指标,分析超氧阴离子产生速率、过氧化氢质量摩尔浓度及抗氧化酶活性变化,并评估不同培养基(PDA、Ser-PDA、Ala-PDA)中尖端纯化技术的复壮效果。  结果  连续继代培养导致秀珍菇种性发生退化,第10代菌株生长速度和生物量分别下降15.45%和28.67%。添加Ser或Ala可有效延缓退化,维持菌丝活力。尖端纯化显著改善退化菌丝性状:PDA组菌丝生物量提升17.17%,粗多糖和总蛋白增加30.66%、30.50%,抗氧化指标改善显著,过氧化物酶(POD)活性提高84.20%,超氧化物歧化酶(SOD)活性提高20.07%;Ser-PDA组复壮效果更优,生物量提升57.77%,SOD活性提高63.70%;Ala-PDA组则使总蛋白增加32.01%。  结论  继代培养是导致秀珍菇菌种退化的重要诱因,培养基中添加2 g·L−1 Ser或Ala可显著延缓退化进程。尖端纯化技术结合氨基酸强化培养基能协同提升菌种复壮效率,其中Ser-PDA培养基在增强抗氧化能力方面效果突出,Ala-PDA培养基对蛋白质合成促进作用显著。图5参33
106份小麦高代品系HMW-GS组成及其对品质的影响
胡正冲, 张雨祥, 李博宇, 马指挥, 王林生
当前状态: doi: 10.11833/j.issn.2095-0756.20250448
[摘要](76) [HTML](27) [PDF](16)
摘要:
  目的  探究小麦Triticum aestivum高分子量谷蛋白亚基(HMW-GS)组成与小麦品质性状的关系。  方法  以106份小麦高代品系为材料,通过鉴定每个高代品系的HMW-GS类型,预测其潜在品质。采用十二烷基硫酸钠-聚丙烯酰胺凝胶电泳 (SDS-PAGE)和分子标记技术,利用近红外谷物分析仪、粉质仪和面筋测定仪等对其进行HMW-GS鉴定和品质检测。  结果  106份小麦品系共鉴定出8种HMW-GS类型和7种HMW-GS组合。Glu-A1位点有3种亚基,分别为x1(24.53%)、x-null(57.55%)、x2*(17.92%),Glu-B1位点有x7+y8(64.15%)和x7+y9(34.91%) 2种类型,Glu-D1位点有x2+y12(43.4%)、x5+y10(42.45%)、x5+y12(15.09%)等3种类型。7种亚基组合类型,品质得分为5~10分,其中2*/7+9/5+10和1/7+8/5+10亚基组合得分最高,均为10分。利用特异性聚合酶链式反应(PCR)分子标记对HMW-GS中的Ax1、Ax-null、Dx2、Dx5、Dy10、Dy12、Bx7和By8亚基进行鉴定,与SDS-PAGE电泳鉴定结果比较,吻合率分别为100%、100%、91.83%、96.69%、97.78%、100%、100%和76.92%;对HMW-GS位点与品质性状进行相关分析发现:2*、7+9和5+10亚基的蛋白质量分数、面粉沉降值和面粉吸水率较其他亚基高(P<0.05),1、7+8和5+10亚基的面粉沉降值、面团形成时间和面团稳定时间均显著高于其他亚基(P<0.05),其中7+9亚基的蛋白质量分数、干面筋质量、湿面筋质量分数和面粉沉降值高于7+8亚基(P<0.05);对不同HMW-GS组合类型与品质性状进行相关分析和主成分分析发现:1/7+8/5+10和2*/7+9/5+10亚基组合综合品质特性较优,对品质性状贡献较大,Null/7+8/2+12和Null/7+9/2+12亚基组合表现较差;同时对高代品系品质进行热图分析和聚类分析发现:各品质性状间差异极显著(P<0.01),并可聚为5个类群。  结论  每个位点上的亚基对品质性状的影响均有所不同,其中对面粉沉降值、面团形成时间、面团稳定时间和湿面筋质量分数影响较大。图6表5参39
生物炭施用对杨树人工幼林固碳增汇能力的短期影响
王倩, 林于晴, 金璇, 陈冬钦, 王国兵
当前状态: doi: 10.11833/j.issn.2095-0756.20250612
[摘要](92) [HTML](39) [PDF](22)
摘要:
  目的  探讨生物炭施用对杨树Populus 人工林生态系统固碳增汇能力的影响及主要调控机制,为中国人工林兼顾木材生产及固碳增汇能力提升的经营实践提供理论与技术支撑。  方法  2023—2025年于江苏泗洪马浪湖林场,以1年生杨树人工幼林为研究对象,设置3种处理:未施用生物炭的空白对照(ck)、低生物炭施用量(B1,30 t·hm−2)、高生物炭施用量(B2,60 t·hm−2),探讨不同生物炭施用量对杨树人工幼林各碳层碳汇能力的短期影响。  结果  ①与ck相比,B1、B2处理连续2 a显著促进杨树胸径、树高生长(P<0.05),其中B2处理促进效果最显著。②施用生物炭1 a后,B1、B2处理较ck均显著提升乔木层、草本层、凋落物层及土壤层的碳增量(P<0.05);在第2年各碳层碳增量较ck无显著差异,表明生物炭1次施用养分不足以维持杨树长期生长,而是通过更稳定的土壤基础改良效应持续发挥作用。③生物炭施用1 a后各处理均显著增加0~40 cm土层碳储量(P<0.05),对40~100 cm土层无显著影响,反映出土壤碳储量的增加主要来源于生物炭在0~40 cm土层的一次性施用。④相关分析表明:各碳层碳储量与土壤全氮、全磷、速效磷、铵态氮(\begin{document}${\mathrm{NH}}_4^+ $\end{document}-N)、硝态氮(\begin{document}${\mathrm{NO}}_3^- $\end{document}-N)、碳氮比、pH呈显著(P<0.05)或极显著正相关(P<0.01);冗余分析表明:全氮是影响生态系统各层碳储量的主要贡献因子。  结论  生物炭施用可显著促进杨树人工幼林乔木层、草本层、凋落物层及土壤层的碳汇能力,且有利于持续稳定促进杨树林木胸径、树高快速生长,进而长期提升杨树人工幼林综合固碳增汇能力,其中,在B2处理下,即60 t·hm−2的高生物炭施用量可实现短期快速稳定固碳。图5表1参36
三生空间视角下花江喀斯特风景道空间适宜性评价
程学洁, 施超, 赵宇鸾, 周鸾宇
当前状态: doi: 10.11833/j.issn.2095-0756.20250322
[摘要](104) [HTML](40) [PDF](21)
摘要:
  目的  探究喀斯特风景道生态、生活和生产空间的合理布局,对促进生态脆弱区风景道高质量发展和国土空间优化具有重要意义。  方法  以北盘江花江段喀斯特山区为研究区域,构建涵盖生态、生活、生产空间维度的喀斯特风景道空间适宜性评价框架,在对花江喀斯特风景道空间要素进行识别与分类后,确立其空间适宜性评价标准。应用GIS空间叠加分析技术对花江喀斯特风景道的空间开发建设适宜性展开评估,并据此提出针对性的景观规划策略。  结果  ①花江喀斯特风景道空间开发建设的最适宜和高适宜区域占比较小,中低适宜及不适宜开发区域占比较大。②建议不适宜及低适宜区域严格限制开发并建立生态保育廊道,对生态脆弱区进行优先修复。③规划在生态功能高适宜区构建喀斯特生态展示廊道,在生活优势区建设游憩观光廊道,在生产潜力区发展喀斯特生态农业。④采用主题分段式设计,将花江喀斯特风景道划分为田园屋舍、峰丛沃野、山野峡谷、山峦叠嶂、乡野河谷5段景观道。在此基础上,合理规划道路文化赛事路线,并在适宜区域设置14处驿站节点。  结论  揭示了花江喀斯特风景道空间开发建设适宜性及其空间分布特征,并提出促进生态保护、生活游憩与农业生产协调发展的景观规划策略。基于三生空间适宜性评价的喀斯特风景道规划方法,能有效指导生态脆弱区风景道功能空间的合理布局与保护性开发。图6表4参25
桂花组织原位杂交体系的构建及在不同组织中的通用性
方博士, 汤宇杰, 夏轩泽, 刘雪宁, 赵宏波
当前状态: doi: 10.11833/j.issn.2095-0756.20260156
[摘要](133) [HTML](44) [PDF](28)
摘要:
  目的  原位杂交技术广泛应用于基因时空表达模式及功能研究。本研究以桂花不同品种不同组织不同发育阶段为材料,建立高效且稳定的桂花原位杂交体系,为桂花功能基因时空表达定位提供技术方法。   方法  以桂花生长素响应因子OfIAA14为检测基因,在常规原位杂交流程基础上,对样品抽真空时间、蛋白酶K消化时间、是否进行预杂交、杂交温度和杂交时间等关键参数进行比较,同时在不同品种、不同组织及其不同发育阶段等方面进行相关基因功能验证。  结果  在抽真空30 min、0.08 MPa(2次)、蛋白酶K 消化20~25 min、无需预杂交、杂交温度50 ℃、杂交时间20 h的条件下,可获得最佳杂交信号。进一步选用OfPIF4、OfPIF5、OfUFOOfYAB2OfAUX5等基因,对原位杂交优化体系在桂花不同品种、不同组织及不同发育阶段中的适用性进行验证,均获得良好的组织结构保持和清晰稳定的信号表达,表明该方法具有较好的可靠性和一定的普适性。  结论  本研究建立了一套适用于桂花组织的原位杂交优化技术体系,可为深入解析桂花开花发育相关基因的时空表达特征及分子调控机制提供可靠的技术支撑。图9表1参25
油桐腺体组织特异表达基因分析
刘北平, 高暝, 赵耘霄, 汪阳东, 陈益存
当前状态: doi: 10.11833/j.issn.2095-0756.20250540
[摘要](140) [HTML](69) [PDF](28)
摘要:
  目的  挖掘油桐Vernicia fordii腺体发育相关的组织特异性模块并筛选核心基因,为后续深入解析腺体发生机制奠定基础,并为植物分泌组织(如分泌腔、腺毛)的发育机制研究提供理论依据。  方法  基于油桐12个组织部位与发育阶段组合样本的转录组测序(RNA-seq)数据,结合加权基因共表达网络分析(WGCNA),鉴定腺体相关组织特异性模块;通过模块内枢纽基因的功能富集分析、蛋白互作网络构建和基因互作网络聚类分析,筛选核心基因;利用实时荧光定量逆转录PCR (RT-qPCR)验证基因在油桐不同部位中的表达模式。  结果  WGCNA分析将过滤后的12 943个基因划分为27个共表达模块,获得与腺体高度相关的greenyellow模块。参考基因本体论数据库(GO)与京都基因与基因组百科全书(KEGG)富集分析表明:模块内枢纽基因涉及生长、解剖结构发育、细胞分化、蛋白质代谢、光信号感知反应、生物胁迫响应等生物过程,富集于转运蛋白、泛素系统、信号转导及环境信息处理等相关通路。根据模块内基因的互作网络以及基因功能注释,筛选得到LSH4RAD4GHIHDG5LOBSWEET10等基因可能在腺体发育中起关键调控作用。RT-qPCR验证结果显示:候选基因在油桐不同部位中的表达呈现显著的组织特异性,其表达趋势与RNA-seq数据高度吻合。  结论  鉴定到1个与腺体相关组织特异性模块,筛选到RAD4GHISWEET10等与腺体形成发育密切相关的核心基因。图8表3参44
降水梯度带气候和土壤对狗尾草化学计量特征变异的贡献差异
孟进, 徐霆飞, 马金灵, 王忠媛
当前状态: doi: 10.11833/j.issn.2095-0756.20250505
[摘要](126) [HTML](51) [PDF](28)
摘要:
  目的  分析广布种狗尾草Setaria viridis器官间的养分化学计量模式及其驱动因子,揭示狗尾草在大区域尺度下的资源获取策略和生长适应性。  方法  选取中国东南湿润区至西北干旱区降水梯度带上10处样点,以广布种狗尾草为目标植物,测定其根、茎、叶碳、氮、磷化学计量指标,采用单因素方差分析与主成分分析等方法,探究狗尾草化学计量沿降水梯度带的变异规律,用结构方程模型和层次分割法进一步揭示驱动化学计量变异的主要环境因子。  结果  ①狗尾草各器官全碳质量分数变异系数最低(根9.13%,叶11.70%),而全氮、全磷变异较大,反映了限制性元素对环境变化的敏感响应。②纬度与海拔等地理因子对化学计量特征无显著直接效应,其影响主要通过调控气候与土壤条件而间接实现。③器官间环境驱动因子存在分化:根化学计量变异主要由土壤因子解释,茎变异主要受气候因子主导,叶化学计量特征则与年均降水量、光合有效辐射和土壤全磷呈显著正相关(P<0.01)。  结论  狗尾草器官间化学计量特征在不同样点间存在显著分异,主要由环境因子(气候、土壤)驱动。植物的化学多样性是由大尺度气候条件筛选出的基础资源利用策略(第1主成分)与局部土壤异质性(尤其是磷)所细化的具体适应性特征(第2主成分)通过层级调控共同决定的。这些发现强调了从器官尺度理解植物适应性分异的重要性,为更精准地预测未来气候变化下植物的响应与适应轨迹提供了新的视角。图7表2参26
广西雅长人工林与天然林土壤养分和微生物群落多样性对比研究
李富祺, 张健本, 韩俊学, 祝鑫宇, 池婷, 李梦莉, 蒙凤群
当前状态: doi: 10.11833/j.issn.2095-0756.20250305
[摘要](116) [HTML](48) [PDF](32)
摘要:
  目的  通过与地带性天然公益林对比,探究马尾松Pinus massoniana和尾叶桉Eucalyptus urophylla人工公益林土壤微生物多样性状况。  方法  在广西雅长兰科Orchadaceae植物自然保护区,调查马尾松和尾叶桉人工公益林、喀斯特林和土山天然林的土壤细菌和真菌群落,分析植物群落和土壤因子对不同林型土壤微生物群落组成及多样性差异的影响机制。  结果  人工林土壤总碳、总氮、总磷、速效钾和速效钙质量分数均显著低于地带性天然林(P<0.05),速效镁质量分数无显著差异;人工林速效磷质量分数显著低于土山天然林而高于喀斯特林(P<0.05)。马尾松人工林细菌的Shannon-Wiener、Simpson和均匀度指数显著高于喀斯特林(P<0.05)而与土山天然林无显著差异,物种丰富度指数无显著差异;尾叶桉人工林细菌的物种丰富度、Shannon-Wiener、Simpson和均匀度指数与天然林均无显著差异。人工林真菌的物种丰富度指数显著低于天然林(P<0.05),Shannon-Wiener、Simpson和均匀度指数与天然林无显著差异。细菌和真菌群落组成在不同林型间均存在极显著差异(P<0.001),且主要影响因素均为植物群落组成(解释度分别为33.4%和21.2%)和土壤总氮质量分数(解释度分别为24.8%和7.8%);细菌群落组成差异还受土壤pH (解释度为20.9%)的影响,而真菌群落组成则受土壤温度(解释度为7.2%)的影响。这导致人工林中固氮细菌(如黄杆菌科Xanthobacteraceae)以及富营养型且喜碱细菌(如变形菌门Proteobacteria、放线菌门Actinobacteria、拟杆菌门Bacteroidetes)的相对丰度减少,而寡营养型且喜酸细菌(如酸杆菌门Acidobacteria、绿弯菌门Chloroflexi)的相对丰度增加。松树共生真菌(如被孢霉科Mortierellaceae、蜡壳耳科Sebacinaceae)在马尾松林中增加,桉树共生真菌(如船壳菌科Gloniaceae)在尾叶桉林中增加,而天然林优势种栎类共生真菌(如红菇科Russulaceae)、富营养型且喜冷真菌(如层腹菌科Hymenogastraceae)在2种人工林中减少。细菌功能类群在不同林型间无显著差异,而真菌功能类群则存在显著差异(P<0.05)。  结论  马尾松和尾叶桉人工公益林仍面临植物群落单一和土壤养分下降的问题,导致土壤真菌多样性显著降低且功能类群发生了显著变化,但细菌多样性和功能类群均未受到明显影响。图2表4参41
1990—2020年北京市土地沙化时空演变特征及驱动因子分析
丁思睿, 赵一禾, 赵廷宁, 姜群鸥, 贾雅凡, 苏欣羽, 杨庆
当前状态: doi: 10.11833/j.issn.2095-0756.20250437
[摘要](115) [HTML](41) [PDF](34)
摘要:
  目的  深入探究北京市土地沙化时空分布规律与关键驱动机制,对制定切实有效的防沙治沙政策,推动生态建设可持续发展具有重要科学意义。  方法  基于1990—2020年7期Landsat系列遥感影像,利用地表反照率与归一化植被指数构建特征空间,结合荒漠化差值指数与地理探测器模型,揭示北京市土地沙化的空间分布特征及关键驱动因子。  结果  1990—2020年间,北京市沙化土地主要分布于平原与沿河区域,面积显著减少,累计减少约3.3万 hm2;不同土地利用类型中,林地沙化程度相对较重。地理探测器分析表明:土地沙化受自然与人为因素共同影响,其中人口密度是关键的驱动因子。  结论  1990—2020年间,北京市土地沙化状况显著改善,但仍有部分沙化土地亟待治理。未来沙化治理应合理调控区域人口密度,重点围绕沿河植被建设与季节性耕地保护展开,综合采取水土保持、植树造林等多种措施,进一步遏制土地沙化扩张趋势。图4表7参35
供磷水平调控小麦根系分泌物影响孢囊线虫发生
董秀丽, 王鹏飞, 黄思瑶, 王慈弘, 赵梦丽, 邱巍, 陈俊辉
当前状态: doi: 10.11833/j.issn.2095-0756.20250364
[摘要](170) [HTML](52) [PDF](35)
摘要:
  目的  小麦孢囊线虫Heterodera avenae病是一种分布广危害大的小麦Triticum aestivum土传病害,对粮食安全造成了严重威胁。施用磷肥可以有效减少小麦田土壤孢囊数量,本研究目的是揭示根系分泌物在磷肥调控小麦孢囊线虫发生过程中的作用。  方法  利用小麦盆栽试验设置不同供磷水平(P1,0 kg·hm−2 P2O5;P2,72 k·hm−2 P2O5;P3,144 kg·hm−2 P2O5;P4,216 kg·hm−2 P2O5),分析不同处理下小麦孢囊线虫发生规律,通过液相色谱-质谱联用仪代谢组测定根系分泌物组成差异。  结果  P3处理显著改善小麦地上部磷质量分数,且土壤孢囊数最低,比P1处理显著降低55%。随着供磷水平增加,P4处理的土壤孢囊数却显著高于P3处理,表明过量施磷可能会加重小麦孢囊线虫病害。主成分分析表明:P3处理的小麦根系分泌物组成显著区别于P1处理。相较于P1处理,P3处理共有682种差异根系分泌物,其中显著富集434种,显著降低248种。这些差异根分泌物参与聚糖生物合成与代谢、氨基酸代谢和其他次生代谢产物的生物合成。与土壤孢囊做相关性分析发现:P3处理有16种显著负相关物质,包括有机氧化物、有机酸、有机杂环化合物、脂质、苯环化合物和聚酮类等6类,部分物质对植物病害具有抑制效果。  结论  控制磷肥施用量可能通过刺激根系分泌具有抗病性的物质,以抵御小麦孢囊线虫侵染。这些发现初步揭示了磷肥抑制小麦孢囊线虫发生的调控机制,为减肥、减药的植物寄生线虫绿色防控技术体系提供理论依据。图6表2参43
氨基接枝聚硼硅氧烷改性脲醛树脂的阻燃增韧研究
沈佳豪, 陈风青, 冯炎, 康桥, 戴进峰, 金春德
当前状态: doi: 10.11833/j.issn.2095-0756.20250400
[摘要](187) [HTML](62) [PDF](33)
摘要:
  目的  脲醛树脂(UF)以其优异性能以及成本优势,广泛应用于胶合板、饰面纸等装饰材料。然而,因UF在应用时脆性大且存在火安全属性问题,亟须对此类树脂进行增韧阻燃改性,扩大其应用范围。  方法  以氨基接枝的聚硼硅氧烷(N-PBS)为单体,通过原位聚合制备N-PBS改性的阻燃增韧脲醛树脂(PUF),构建兼具黏结性、韧性和阻燃性的浸渍胶体系,提升UF的力学性能及阻燃性能。  结果  得益于N-PBS柔性链对UF主链的改性,添加了质量分数10%N-PBS的PUF涂胶的饰面板(10%PUF)较纯脲醛树脂涂胶的饰面板,表现出良好的力学性能和阻燃性能:①火焰燃烧30 s后的饰面板背面温度降低了78.2 oC,烧穿时间延缓了60 s,且离火后自熄;②干胶合强度提升了27%,湿胶合强度满足GB/T 9846—2015《普通胶合板》中Ⅱ类胶合板标准;③韧性得到提升,卷曲半径减小0.9 mm。  结论  通过原位聚合方法在UF结构中引入N-PBS,构建的化学交联协同增强了PUF的阻燃性能、胶合强度与韧性,为提升UF的高附加值应用和应用范围扩大做了技术支撑。图10参36
极小种群野生植物舟柄铁线莲种子萌发特性研究
贺顺云, 赵昌高, 王吉辰, 曾馨梨, 刘志高
当前状态: doi: 10.11833/j.issn.2095-0756.20250440
[摘要](253) [HTML](115) [PDF](72)
摘要:
  目的  探究舟柄铁线莲Clematis dilatata种子的休眠原因,寻找有效破眠方法,为该植物的保护和开发利用提供依据。  方法  以舟柄铁线莲种子为材料,观测其形态特征、种皮透水性、内源抑制物(以白菜Brassica rapa var. glabra种子为受体),并采用不同浓度的赤霉素(GA3)处理(0、50、100、200 mg·L−1)、不同时长的冷层积处理(0~98 d)以及不同温度(恒温、变温)与光周期(光暗交替、全黑暗)的组合处理,筛选最佳破眠方法。  结果  舟柄铁线莲种子成熟时,胚胎已分化但发育不全;种皮透水性良好,种胚无吸水障碍;种皮和胚乳浸提液对白菜种子萌发均未产生显著影响。相较于恒温(25 ℃)或全黑暗条件,变温(25 ℃ 16 h /15 ℃ 8 h)和光暗交替(光照16 h/黑暗8 h)的环境条件更有利于种子萌发。种子在冷层积处理后,平均胚根萌动时间(21~45 d)远短于未处理的对照组(75 d),但随着冷层积的时间增加,发芽率先升高后降低,发芽势先升高后趋于平稳,而平均胚根萌动时间则不断缩短直至稳定。在冷层积70 d时,发芽率最高,为(64.33±5.51)%,发芽势为(7.33±1.15)%,平均胚根萌动时间为25 d。种子经50 mg·L−1 GA3处理后,发芽率高达(68.33±3.51)%,发芽势为(8.00±1.00)%,平均胚根萌动时间为23 d,但随着GA3浓度升高,发芽率和发芽势均呈下降趋势,平均胚根萌动时间也随之延长。  结论  舟柄铁线莲种子属于非深度简单形态生理休眠类型,在变温和光暗交替的环境下,50 mg·L−1 GA3或冷层积70 d能够更有效地解除其休眠状态。图2表4参31
木纤维-壳聚糖全生物质泡沫制备及无土栽培应用性能
唐芝, 陈新义, 周晓剑, 郑青状, 廖晶晶
当前状态: doi: 10.11833/j.issn.2095-0756.20250349
[摘要](203) [HTML](132) [PDF](63)
摘要:
  目的  旨在开发一种原料可再生,应用于无土栽培的栽培泡沫,从而减少对于岩棉、聚氨酯等传统成型基质的依赖。  方法  以木质剩余物纤维为主要原料,复合壳聚糖凝胶,并通过机械发泡制备无土栽培基质泡沫材料,测定宏观形貌特征、发泡体积,研究冻融处理和曲拉通对泡沫成型工艺的影响。利用微观形貌特征、红外光谱对泡沫结构进行表征,并通过保水性能、水吸力测试及栽培试验重点研究柠檬酸对木纤维-壳聚糖泡沫性能及栽培应用性能的影响。  结果  冻融处理工艺能够明显改善发泡材料的孔隙结构,木纤维-壳聚糖泡沫曲拉通最佳使用量为1 g。柠檬酸与壳聚糖构建交联网络可以有效改善泡沫的孔隙结构,改善泡沫保水性能。木纤维-壳聚糖泡沫在40 ℃ 12 h的条件下仅为69.21%的失水率,同时水吸力测试为68.15%。栽培试验中萝卜Raphanus sativus生长长势仅次于聚氨酯泡沫栽培基质。  结论  冻融处理工艺和曲拉通可构建均匀泡沫孔隙结构,以柠檬酸作为交联剂制备的木纤维-壳聚糖泡沫可满足植物生长所需的基本条件,在实际栽培试验中表现出了良好的应用潜力。图7表1参25
9个香榧品种砧木对淹水胁迫的生理响应及耐涝性评价
戴坤荣, 刘雅, 喻卫武, 吴家胜, 颜景畏
当前状态: doi: 10.11833/j.issn.2095-0756.20250398
[摘要](316) [HTML](139) [PDF](71)
摘要:
  目的  在雨季排水不畅的地区,频繁的涝渍严重限制了香榧Torreya grandis ‘Merrillii’产量与品质提升。系统开展不同香榧品种砧木在淹水胁迫下的生理响应与耐涝性研究,不仅有助于筛选和培育耐涝香榧品种,也为揭示香榧耐涝机制提供重要的理论依据。  方法  以香榧‘珍珠榧’‘Zhenzhufei’、‘早缘榧’‘Zaoyuanfei’、‘玉山鱼榧’‘Yushanyufei’、‘金叶红象牙榧’‘Jinyehongxiangyafei’、‘茄榧’‘Qiefei’、‘长叶榧’‘Changyefei’、‘小籽象牙榧’‘Xiaozixiangyafei’、‘龙凤细榧’‘Longfengxifei’、‘芝麻榧’‘Zhimafei’等9个品种的砧木为供试材料,设定正常水分(对照)和淹水2种处理,通过测定香榧叶片组织的叶绿素a质量分数、叶绿素b质量分数、过氧化氢(H2O2)质量摩尔浓度、丙二醛(MDA)质量摩尔浓度、电解质渗透率、脯氨酸(Pro)质量分数、抗坏血酸过氧化物酶(APX)活性、过氧化氢酶(CAT)活性、超氧化物歧化酶(SOD)活性、过氧化物酶(POD)活性等10个生理指标,再依据主成分分析及隶属函数对各品种的耐涝指数进行分析,综合评价各品种的耐涝能力。  结果  在淹水处理下,不同品种砧木的叶绿素a和叶绿素b较对照组均有不同程度的降低,H2O2质量摩尔浓度、MDA质量摩尔浓度、电解质渗透率、SOD活性和POD活性等氧化胁迫相关生理指标均有不同程度的升高,脯氨酸质量分数、APX活性、CAT活性在不同品种中呈现升高或降低的趋势。根据主成分分析及隶属函数对不同生理指标进行综合评价,得到9个品种的耐涝性综合评价值。  结论  不同品种的香榧砧木在淹水胁迫下的渗透物质变化与抗氧化防护能力不同。‘长叶榧’‘金叶红象牙榧’与‘玉山鱼榧’表现出较强的耐涝性,‘小籽象牙榧’‘龙凤细榧’与‘早缘榧’中等耐涝,‘珍珠榧’‘茄榧’‘芝麻榧’最不耐涝。图1表3参29
生物基CNC/PCNF/LNPs柔性虹彩薄膜的疏水抗紫外性能
许诺, 徐蕴哲, 陶文锭, 马帆峰, 李倩, 吴强
当前状态: doi: 10.11833/j.issn.2095-0756.20250375
[摘要](349) [HTML](162) [PDF](70)
摘要:
  目的  制备一种全生物基的柔性虹彩色纤维素纳米晶体(CNC)/纤维素纳米纤丝(PCNF)/木质素纳米微球(LNPs)复合薄膜,并系统考察LNPs质量分数对复合薄膜的光学性能、形貌结构、力学性能、湿度响应行为、热稳定性、疏水性能和紫外阻隔性能的影响。  方法  以CNC为结构相、PCNF为增强相、LNPs为功能相,采用两步法制备全生物基的柔性虹彩色CNC/PCNF/LNPs复合薄膜。  结果  随着LNPs质量分数增加,薄膜的结构色和最大反射光波长(λmax)出现了显著红移;疏水性能提升,薄膜的水接触角从39.0°提升到76.1°,湿度敏感性略微下降;热稳定性提升,薄膜的最大热分解温度由240 ℃提升到261 ℃;紫外阻隔性能提升,CNC/P20/L2.0 (P20代表PCNF相对于CNC的质量分数为20.0%,L2.0代表LNPs相对于CNC的质量分数为2.0%) 薄膜在紫外光区(UV,200~400 nm)和中波紫外光区(UVB,280~320 nm)的紫外光吸收率高达95.8%和99.2%。  结论  LNPs质量分数可影响复合薄膜的光学性能、形貌结构、湿度响应行为、热稳定性、疏水性能和紫外阻隔性能,但对力学性能影响不大。图7参26
圆形孔洞对木梁承载能力的影响研究
刘洪潮, 胡潇毅
当前状态: doi: 10.11833/j.issn.2095-0756.20250389
[摘要](348) [HTML](116) [PDF](89)
摘要:
  目的  考察木梁中不同位置和尺寸的圆形孔洞对其承载能力的影响规律,探究木梁对孔洞损伤具有一定容受能力的力学机制,启发高孔洞耐受性能材料或轻量化结构的设计。  方法  提出孔洞相容的力学概念,给出孔洞相容系数的计算公式。通过对木梁进行弯曲断裂实验,测量具有不同位置、不同直径孔洞的木梁的断裂弯矩值,绘制相应的关系曲线,计算木梁的孔洞相容系数。通过对代表性木梁进行仿真分析和断口形貌分析,阐明其具有孔洞相容力学特性的机制。  结果  中性层下方孔洞对木梁承载能力的影响大于中性层上方孔洞的影响。当孔洞直径小于梁高的1/5时,木梁承载力的下降不超过10%。除密度极高和密度极低的木梁外,大部分木梁的孔洞相容系数均接近1.0,高于塑性的金属铝梁和脆性的亚克力梁。有限元分析表明:孔洞下方的应力分布比孔洞上方的应力分布更为均匀。断口形貌分析则发现:孔洞下方断裂面更为平整。  结论  当孔洞直径小于临界直径时,木梁的整体承载力下降轻微,并且当这样的孔洞位于木梁拉伸区域时,孔洞下部区域木纤维的承载能力得到更均匀发挥,木梁在整体上表现出孔洞相容的力学现象。木梁具有优于塑性金属铝梁和脆性亚克力梁的孔洞相容力学性能,其孔洞相容的力学机制能够启发新型纤维增强复合材料、含孔洞轻量化承载结构,以及微孔洞结构材料的设计。图6表6参25
2026年43卷2期
封面
2026 年 2 期封面
2026, 43(2).
[摘要](94) [PDF](92)
摘要:
2026 年 2 期目次
2026, 43(2): 1-2.
[摘要](92) [HTML](47) [PDF](85)
摘要:
特色经济林果种质资源与抗逆生理专题
香榧僵果主要病原菌的分离鉴定及生物学特性
楼科勋, 楼君, 赖思思, 叶浩杰, 喻卫武, 方南寿, 胡渊渊
2026, 43(2): 229-241. doi: 10.11833/j.issn.2095-0756.20250575
[摘要](190) [HTML](59) [PDF](46)
摘要:
  目的  每年4月,香榧Torreya grandis ‘Merrillii’结果枝上有89%的果实为僵果,其假种皮未突破种鳞,内部珠心褐化萎缩。目前关于香榧僵果形成的机制仍不清楚。研究香榧僵果的发生机制,可为制定有效的防治措施提供理论依据。  方法  以距香榧果实突破种鳞的时间(D)作为记录发育进程指标,突破种鳞当天记为D=0,隔一定时间采集香榧种实珠心样品,采用组织分离法对不同发育时期的香榧果实珠心组织进行病原菌分离和纯化,结合形态学、多基因联合系统发育分析及科赫法则验证,鉴定香榧僵果的优势致病菌种类,并分析其生物学特性。  结果  ①在D为−207~21 d时,从香榧果实珠心组织分离出的病原菌中,枝孢属Cladosporium的分离率和分离频率均最高。根据菌落形态,这些枝孢属真菌可分为5种类型。接种这5种枝孢属真菌的代表菌株及混合菌株的孢子液均可诱发香榧珠心褐化,其中回接混合菌株孢子液后的香榧珠心褐化表型与僵果的褐化珠心最为相似。②通过形态学鉴定及多基因序列分析,鉴定出5种主要枝孢属致病菌株分别为绳状枝孢菌C. funiculosum TGZX1、尖孢枝孢菌C. oxysporum TGZX2、贵州枝孢菌C. guizhouense TGZX3、极细枝孢菌C. tenuissimum TGZX4和微糙枝孢菌C. scabrellum TGZX5。③5种枝孢属真菌生长的最适温度均为20~25 ℃。TGZX1-1、TGZX2-1、TGZX3-1、TGZX4-1和TGZX5-1的最适碳源分别为可溶性淀粉、甘露醇、葡萄糖、麦芽糖和麦芽糖,最适氮源均为胰蛋白胨,且这些菌株均能在黑暗条件下生长。  结论  香榧僵果是由5种枝孢属真菌复合侵染所致。这与雌球花在授粉期易受枝孢属真菌侵染密切相关。在香榧雌花期采取防控措施是有效防治僵果形成的关键。图6表1参34
山核桃生理落果特点及调控研究
李俊, 张进, 安轶, 江成, 何浙华, 吴永强, 卢孟柱
2026, 43(2): 242-249. doi: 10.11833/j.issn.2095-0756.20250284
[摘要](183) [PDF](42)
摘要:
  目的  山核桃 Carya cathayensis落果严重影响了产量和经济效益。揭示浙江山核桃果实脱落特征,探讨2种活性氧清除剂(碘化钾和没食子酸丙酯)在缓解山核桃落果中的调控作用。  方法  以浙江淳安、临安地区山核桃为研究对象,在2023和2024年分别喷施不同浓度的碘化钾(3.0、5.0和10.0 mmol·L−1)和没食子酸丙酯(0.1、0.3和0.5 mmol·L−1)溶液,以喷施水作为对照组,计算落果率。通过3,3'-二氨基联苯胺(DAB)和硝基蓝四氮唑(NBT)染色法检测果实组织活性氧水平,分析果实脱落过程中活性氧的动态变化。  结果  山核桃在4—6月出现大量生理落果,2023和2024年的自然落果率分别达89.55%±2.43%和80.09%±4.05%。果实脱落有2种特征:果实直接与枝条分离或果实连同果柄与枝条分离。2023和2024年喷施活性氧清除剂处理后,3.0 mmol·L−1碘化钾处理组的落果率分别为57.24%±8.60%和61.22%±2.75%;0.5 mmol·L−1 没食子酸丙酯处理组的落果率分别为51.85%±3.15%和45.77%±2.17%,均显著低于对照(P<0.05)。组织化学分析显示:离区活性氧水平在脱落前明显升高,而碘化钾和没食子酸丙酯处理有效降低了果实组织中的活性氧积累。  结论  山核桃落果集中发生于4—6月。活性氧在离层形成过程中起关键作用,3.0 mmol·L−1 碘化钾和0.5 mmol·L−1 没食子酸丙酯通过清除活性氧显著降低了落果率。图4表1参27
甜橙FW2.2家族基因鉴定及在果实细胞分裂期的表达分析
许园园, 郭玲霞, 范明慧, 殷姿, 韩健, 李菲菲, 周铁, 陈鹏
2026, 43(2): 250-259. doi: 10.11833/j.issn.2095-0756.20250431
[摘要](341) [HTML](170) [PDF](73)
摘要:
  目的  鉴定甜橙Citrus sinensis FW2.2基因家族成员,分析FW2.2家族成员的结构特征及其在果实细胞分裂期的表达模式,为探究FW2.2在甜橙果实发育中的基因功能提供理论依据。  方法  以甜橙全基因组数据为基础筛选确定甜橙FW2.2家族成员。运用生物信息学方法预测分析其基因结构、序列特征、染色体定位和顺式作用元件,并与多个物种的FW2.2家族序列构建发育进化树。利用实时荧光定量聚合酶链式反应(RT-qPCR)技术分析甜橙FW2.2家族基因在甜橙果实细胞分裂时期的表达趋势。  结果  FW2.2家族在甜橙基因组中有16个成员。它们分布在6条染色体上,长度为100~563个氨基酸,含有2个以上的保守基序,主要定位在细胞膜。进化分析表明:甜橙、番茄Solanum lycopersicum、梨Pyrus bretschneideri、桃Prunus persica、玉米Zea mays及水稻Oryza sativaFW2.2成员分为6个亚组。顺式元件分析显示:FW2.2家族基因启动子上均含有与激素、生长发育、非生物胁迫相关的元件。基因表达分析表明:FW2.2家族成员在果实细胞分裂期的表达趋势存在差异。CsFWL5CsFWL6CsFWL12在果实细胞分裂期的表达量显著降低,且与细胞层数增长呈极显著负相关(P<0.01)。  结论  CsFWLs成员在进化过程中表现出一定的保守性,且跟梨、桃、番茄等作物FWLs基因序列存在相似性。甜橙FW2.2基因家族成员间功能不同,其中甜橙CsFWL5/6/12可能参与调控果实细胞分裂过程。图6表3参33
不同品种宁夏枸杞种实表型性状变异分析及综合评价
王嘉栋, 张璇, 杨改儿, 段淋渊, 戴国礼, 张波, 李翔
2026, 43(2): 260-271. doi: 10.11833/j.issn.2095-0756.20250225
[摘要](384) [HTML](108) [PDF](84)
摘要:
  目的  对不同品种宁夏枸杞Lycium barbarum种实性状进行测定分析,探究种实性状的变异规律,为枸杞良种选育以及品种开发利用提供理论基础。  方法  以枸杞种质资源收集圃的14个品种宁夏枸杞(10种红果、4种黄果)为研究对象,测定其种实性状,并进行相关性分析、变异系数分析、聚类分析、主成分分析和综合评价。  结果  ①枸杞果实与种子大小、果柄长度呈显著正相关(P<0.05)。②不同品种宁夏枸杞种实性状的变异系数为0.17%~59.08%,平均变异系数为19.16%,变异较为丰富,表型多样化程度高,且种内与种间均呈显著差异(P<0.05);果实性状的变异系数(19.69%)高于种子(17.17%),与种子相比,果实性状变异较大。③‘宁农杞20号’‘Ningnongqi 20’在不同维度聚类下均与红果枸杞聚为一类,其种实性状变异规律与红果枸杞较为相似。‘宁农杞4号’‘Ningnongqi 4’在4种聚类方式下均单独为Ⅰ类,其种实性状存在独特的变异。④主成分分析显示:前4个主成分的累计贡献率为74.478%,保留了原始性状中的大部分遗传信息,其中黏着性、胶着性、咀嚼性、果长、果宽、果形指数、种子长、种子宽、种子千粒重是主成分影响较大的几个性状。⑤对14个品种宁夏枸杞进行综合评分发现:‘宁农杞4号’排名第1位,‘宁杞3号’‘Ningqi 3’、‘宁农杞20号’与‘宁杞9号’‘Ningqi 9’分别排名为2、3、4位。  结论  14个品种宁夏枸杞的种实表型性状变异幅度大,‘宁农杞4号’的综合得分最高,具有较优的质构特性,其高硬度可能适合机械化采收,而其低弹性提示加工时需调整工艺参数。图3表7参40
阿克苏地区5个杏李品种果实品质分析
徐惠, 吴翠云, 房志刚, 吉银中, 曹怡霖, 王明, 孙雅丽
2026, 43(2): 272-282. doi: 10.11833/j.issn.2095-0756.20250268
[摘要](299) [HTML](153) [PDF](71)
摘要:
  目的  探究阿克苏地区5个杏李Prunus simonii品种的果实形态特征、果实外观、果实质地及果实内在品质的差异,提出适宜阿克苏地区适宜的杏李品种。  方法  2024年在新疆阿克苏地区温宿县佳木镇的杏李园进行田间试验,对6年生的5个杏李品种进行果实外观、果实质地、可溶性糖、可溶性固形物、可滴定酸、维生素C、糖酸组分等测定,分析不同品种果实品质的差异。  结果  外观方面,‘恐龙蛋’‘Konglongdan’和‘味厚’‘Weihou’的平均单果质量为100~120 g,其余3个品种单果质量为50~80 g;其中‘味王’‘Weiwang’的L*和a*分别为68.23和16.68,果实色泽鲜亮。营养方面,‘味王’的维生素C质量分数最高,为0.967 8 mg·g−1;‘恐龙蛋’的可溶性糖质量分数最高,为15.37%,‘味帝’‘Weidi’的可滴定酸质量分数最高,为1.65%;‘味帝’的可溶性固形物质量分数最高,为20.47%;‘恐龙蛋’的黄酮、总酚和蛋白质质量分数最高,分别为2.29、2.75和1.44 mg·g−1。糖酸组分方面,糖组分以山梨醇积累为主,酸组分以柠檬酸积累为主。‘风味皇后’‘Fengweihuanghou’的果糖、葡萄糖及山梨醇质量分数均高于其他品种,‘味厚’的蔗糖质量分数(32.83 mg·g−1)显著高于其余4个品种(P<0.05);‘味帝’的柠檬酸和抗坏血酸质量分数显著高于其余4个品种(P<0.05),分别为10.03和0.34 mg·g−1;在酸的类别上,仅有‘味帝’含有琥珀酸,但‘风味皇后’不含富马酸。经主成分分析对果实品质进行综合评价,得分由高到低分别为‘恐龙蛋’‘味王’‘味厚’‘风味皇后’和‘味帝’。  结论  ‘味帝’的糖酸均衡,口感较为柔顺,但果实相对较小,所以导致排名相对靠后,就果实品质综合来看:‘恐龙蛋’不仅果实大,各种营养物质较高且相对均衡,更适宜在阿克苏地区大面积推广种植。图5表6参37
研究论文
基于高光谱成像与集成模型的烟草种子活力分类研究
潘威, 邓书文, 杨晓东, 乔雨, 梅媛, 张立猛, 关亚静
2026, 43(2): 283-292. doi: 10.11833/j.issn.2095-0756.20250418
[摘要](268) [HTML](104) [PDF](62)
摘要:
  目的  针对微小粒烟草Nicotiana tabacum种子,构建一种基于高光谱成像与集成模型的无损活力快速分类方法。  方法  以烟草品种‘MS云烟87’‘MS-Yunyan 87’、‘红花大金元’‘Honghua Dajinyuan’、‘云烟99’ ‘Yunyan 99’为材料,设置多个劣变梯度,获取不同处理种子的群体高光谱数据。综合发芽势、根长、苗高等各项指标,按权重形成活力指数,并以阈值划分高低活力标签。所有光谱数据经卷积平滑(SG)降噪后,以无信息变量消除算法(UVE)筛选出判别波段,基于精简特征训练 CNN-LightGBM分类器,并以独立品种数据进行外部验证。  结果  随劣变时长增加,活力指数整体显著下降,48、72及96 h的劣变处理种子几乎全部归为低活力组,表明所定阈值具有良好的分界效应。与不同特征选择模型组合相比,UVE所得精简特征配合CNN-LightGBM的综合表现最佳,测试集准确率为88.90%、召回率为97.40%、F1分数为91.40%。模型在烟草品种‘MS121’数据上的有效性验证中总体准确率达85.58%,体现出模型良好的跨批次与跨品种泛化能力。  结论  建立了SG预处理与UVE特征波段筛选方法结合CNN-LightGBM模型的策略,可实现微小粒烟草种子活力的高效、无损分类,具备向其他微小粒作物种子迁移应用的潜力,为微小粒作物种子质量监测提供了新思路。图6表2参25
慈竹竹叶黄酮成分鉴定及对α-淀粉酶和α-葡萄糖苷酶的抑制作用
付正建, 董仕豪, 徐柠檬, 王曙光, 范方宇, 郭磊
2026, 43(2): 293-302. doi: 10.11833/j.issn.2095-0756.20250261
[摘要](335) [HTML](168) [PDF](73)
摘要:
  目的  通过对慈竹Neosinocalamus affinis竹叶中的黄酮类化合物进行组分鉴定,并探究竹叶黄酮对α-葡萄糖苷酶以及α-淀粉酶的抑制作用,为慈竹竹叶资源的深度利用和开发提供理论依据。  方法  以慈竹竹叶为原料,通过大孔树脂纯化得到纯化竹叶黄酮,使用超高效液相色谱-质谱技术对纯化竹叶黄酮的化学成分进行了鉴定,并通过体外试验探究了纯化竹叶黄酮对α-淀粉酶和α-葡萄糖苷酶活性的抑制作用,以及纯化竹叶黄酮降血糖的作用机制。  结果  慈竹竹叶提取物中共鉴定出18种黄酮类化合物,包括甘草黄酮醇、表紫草氰苷Ⅱ、宝藿苷Ⅰ等黄酮类化合物;体外试验结果显示:纯化竹叶黄酮对α-淀粉酶和α-葡萄糖苷酶都存在抑制作用,当纯化竹叶黄酮质量浓度为0.5 mg·mL−1时,对α-淀粉酶的抑制率为79.71%±5.02%,半抑制质量浓度(IC50)为(0.057±0.005) mg·mL−1;对α-葡萄糖苷酶的抑制率为74.17%±6.17%,IC50为(0.071±0.004) mg·mL−1,纯化竹叶黄酮对这2种酶的抑制类型都呈现出竞争性-非竞争性混合抑制。  结论  根据酶活性抑制动力学试验结果表明:慈竹竹叶中的黄酮类化合物可能是降血糖的活性成分之一。图3表4参34
过表达紫花苜蓿ChOMT基因创制高异黄酮营养强化番茄
张杨, 诸燕, 韩之刚, 杨美森, 斯金平, 陈东红
2026, 43(2): 303-309. doi: 10.11833/j.issn.2095-0756.20250186
[摘要](354) [HTML](140) [PDF](97)
摘要:
  目的  基于紫花苜蓿Medicago sativa高异黄酮合成酶基因ChOMT,构建转基因高异黄酮番茄Solanum lycopersicum植株,从而实现番茄的营养强化。  方法  利用农杆菌介导法将ChOMT转入番茄,通过聚合酶链式反应(PCR)和荧光检测进行转基因鉴定,进一步采用植物广泛靶向代谢组学技术和多元统计分析方法,对高异黄酮相对含量进行精准定量分析。  结果  经PCR和荧光检测获得ChOMT转基因阳性植株,与野生型相比,高异黄酮相对含量显著提升,其中(3RS)-5,7-dihydroxy-3-(2-hydroxy-4-methoxybenzyl)-chroman-4-one (HIF1)在转基因番茄叶片中的相对含量为57 019,对比野生型叶片中的相对含量(220)增加了260倍,5,7-dihydroxy-3-(4-hydroxybenzyl)-chroman-4-one (HIF2)在转基因番茄果实中的相对含量为15 849 985,对比野生型的相对含量(3 849)提高了4 000余倍。  结论  成功获得了ChOMT转基因番茄,不仅为解析ChOMT在植物体内的催化功能提供了理论依据,同时也为培育高异黄酮遗传改良番茄品种奠定了重要的种质资源基础。图6参28
染色体臂置换系CASL3AL早抽穗候选基因分析
董建浩, 陈良朋, 赵燕昊, 向琼瑶, 胡鑫
2026, 43(2): 310-319. doi: 10.11833/j.issn.2095-0756.20250260
[摘要](187) [HTML](67) [PDF](56)
摘要:
  目的  小麦Triticum aestivum的抽穗期是决定产量和品质的关键农艺性状。‘中国春’T. aestivum ‘Chinese Spring’(CS)-野生二粒小麦T. turgidum var. dicoccoides染色体臂置换系CASL3AL在多环境种植下均表现为早抽穗,通过转录组探究其幼穗发育关键时期的调控基因。  方法  以野生二粒小麦染色体臂置换系CASL3AL×CS的重组自交系(RILs)为材料,筛选出稳定的早熟株系1017-7-167-1、1017-10-311-15-5,以及晚熟亲本CS。分别采集单棱期(W1.5)和二棱期(W2.5)的主茎叶片,进行转录组测序(RNA-Seq)。  结果  2个早熟株系的纯合单核苷酸多态性(SNP)位点均主要富集在3A染色体区段。差异表达分析显示:1017-7-167-1在单棱期和二棱期分别鉴定到4 172和169个差异表达基因(DEGs),1017-10-311-15-5分别为1 065和172个。基因本体(GO)富集分析表明:DEGs主要参与昼夜节律、花器官发育等过程。根据SNP富集结果和表达量差异,在3A染色体SNP富集区域筛选到了2个候选基因:TraesCS3A02G432900TraesCS3A02G139300  结论  筛选了野生二粒小麦促进普通小麦早抽穗的候选基因,为小麦生育期改良提供理论依据。图9表1参32
322份玉米种质生育期性状的全基因组关联分析
陈勇, 骆遥, 沈晓斌, 朱凯, 任赞, 赵光武, 韩庆辉, 王洋
2026, 43(2): 320-330. doi: 10.11833/j.issn.2095-0756.20250210
[摘要](454) [HTML](119) [PDF](82)
摘要:
  目的  玉米Zea mays生育期是从播种到成熟的完整生长周期,其关键表征性状包括抽雄期、散粉期和吐丝期等。发掘调控玉米生育期的关键基因对于优化玉米生产,促进产业提质增效具有重要意义。  方法  2022和2023年,利用322份玉米种质资源在浙江东阳、海宁对抽雄期、散粉期和吐丝期等性状进行调查,并结合基因型重测序数据对上述性状进行全基因组关联分析。  结果  抽雄期、散粉期和吐丝期性状频率分布呈单峰型曲线,符合正态分布。全基因组关联分析发现:在抽雄期,322份玉米种质2022年东阳、2022年海宁、2023年东阳、2023年海宁4个试点分别定位到单核苷酸多态性(single nucleotide polymorphism,SNP)相关位点61、27、281、57个,解释表型变异范围为7.26%~10.68%,在10条染色体上均有分布;在散粉期,分别定位到相关位点51、26、424、58个,解释表型变异范围为7.25%~11.80%,主要分布在1、2、3、7、8、9、10号染色体上;在吐丝期,分别定位到相关位点47、277、212、1 169个,解释表型变异范围为7.25%~41.26%,主要分布在1、2、3、4、7、8、10号染色体上。4个试点中分别定位到抽雄期、散粉期、吐丝期重叠的SNP位点49、53、24个,综合SNP位点信息、基因注释、基因组织表达谱等,最终筛选到6个玉米生育期关键候选基因。  结论  抽雄期、散粉期和吐丝期性状均呈正态分布,并定位到大量环境特异性及重叠SNP位点,最终筛选出6个生育期关键候选基因,为玉米生育期遗传改良及产业高质量发展提供了重要基因资源。图8表3参44
3种黄连木属植物叶绿体基因组结构特征及遗传关系
周泽霖, 向长武, 张少军, 陈日美, 何杰祖, 牙璋, 黄毅, 劳广杰
2026, 43(2): 331-339. doi: 10.11833/j.issn.2095-0756.20250221
[摘要](343) [HTML](105) [PDF](84)
摘要:
  目的  开展3种黄连木属Pistacia植物叶绿体基因组的对比分析,旨在解析其结构特征及遗传进化关系。  方法  以美国国家生物技术信息中心(NCBI)的3种黄连木属植物叶绿体基因组为材料,利用生物信息学手段对其叶绿体基因组结构、重复序列、核苷酸多态性及遗传关系开展分析。  结果  3种黄连木属植物叶绿体基因组均呈四分体环状结构,且蛋白编码序列(CDS)、核糖体RNA (rRNA)及转运RNA (tRNA)的数目完全一致;简单重复序列统计显示:以单核苷酸中的A (34.35%)或T (39.69%)重复单元为主,但未检测到六核苷酸。散在重复序列统计显示:以回文重复(105个)、正向重复(76个)为主,但未检测到反向重复;3种黄连木属植物叶绿体基因组在大单拷贝区(LSC)、小单拷贝区(SSC)区域的基因间隔区(CNS)序列有不同程度的变异,但在四分体边界附近的基因在收缩或扩张上均无明显差异;核苷酸多态性分析在LSC区及LSC与反向重复b区(IRb)的边界检测到5个高度变异序列(matKtrnG-UCC~trnR-UCUtrnT-UGU~trnL-UAApetD~rpoArpl22~rpl2);遗传进化关系显示:黄连木属植物与盐肤木属Rhus植物相互分开,中国黄连木P. chinensis与清香木P. weinmaniifolia关系亲近,而阿月浑子P. vera与大西洋黄连木P. atlantica可单独划分一支。  结论  3种黄连木属植物叶绿体基因组结构类似且相对保守,在各类基因数量上保持一致;检测出的5个变异序列可作为黄连木属植物的候选分子标记;中国黄连木与清香木在遗传关系上更为亲近,而阿月浑子与前两者相对疏远。图6表1参46
菜心叶绿体基因组特征及系统发育分析
柳婷婷, 许丽爱, 胡紫蔚, 熊兴鹏, 安霞, 曹家树
2026, 43(2): 340-350. doi: 10.11833/j.issn.2095-0756.20250279
[摘要](696) [HTML](360) [PDF](120)
摘要:
  目的  对菜心Brassica rapa var. parachinensis叶绿体基因组进行组装、注释和分析,揭示其与其他十字花科Brassicaceae植物的系统进化关系。  方法  利用Illumina NovaSeq 6000平台对菜心叶绿体全基因组测序,利用生物信息学的手段分析其叶绿体基因组结构、重复序列、核苷酸多样性、密码子偏好性,以及结合其他25种十字花科植物叶绿体基因组序列构建系统发育关系。  结果  菜心叶绿体基因组全长为153 482 bp,GC含量为36.36%,是典型的四分体结构;共注释到132个编码基因,其中86个蛋白质编码基因、37个tRNA基因、8个rRNA基因,以及1个假基因;密码子偏好性分析结果显示:亮氨酸的使用频率最高,相对同义密码子使用度大于1的密码子有31个,多以A或者U结尾;共有37个散在重复序列,315个简单重复序列,其中单核苷酸重复占比最高,为72.70%;小单拷贝区的核苷酸多样性最高,反向重复区的核苷酸多样性最低;系统发育分析结果显示:菜心与其他白菜类蔬菜亲缘关系最近。  结论  菜心叶绿体基因组为典型的四分体结构,相对保守,与普通白菜B. rapa var. chinensis、紫菜薹B. rapa var. purpuraria、大白菜B. rapa subsp. pekinensis等亲缘关系密切。图5表3参39
兰州百合远缘杂交亲和性及后代真实性检验
刘惠玉, 刘一洁, 谭博毫, 马小鸥, 董钦金, 蒙敏, 魏启森, 孙明
2026, 43(2): 351-360. doi: 10.11833/j.issn.2095-0756.20250420
[摘要](464) [HTML](274) [PDF](116)
摘要:
  目的  研究兰州百合Lilium davidii var. unicolor与不同品系观赏百合Lilium杂交亲和性,为培育多用途优良百合新品种提供种质资源和技术支撑。  方法  对所有供试百合花粉活力进行检验,根据结果配置以兰州百合为父本,‘虎宝宝’ ‘Tiger Babies’、‘紫梦’ ‘Purple Dream’、‘黑色魅力’ ‘Black Charm’、‘甜糖’ ‘Sweet Sugar’、‘眼线’ ‘Eye Liner’、‘小玩意’ ‘Gizmo’、‘守望’ ‘Watch Up’为母本,以及以兰州百合为母本,‘紫梦’‘黑色魅力’‘守望’为父本的10个杂交组合。采用直接授粉、切割柱头授粉、1 g·L−1萘乙酸(NAA)水溶液涂抹柱头授粉3种方式进行杂交,结合花粉管生长和结实情况评价组合亲和性,并利用简单重复序列标记(SSR)技术对胚培养获得的杂种实生苗进行真实性检验。  结果  ①杂交亲和性评价表明:‘甜糖’ ‘黑色魅力’作为母本与兰州百合杂交亲和性较高,‘眼线’ ‘虎宝宝’ ‘紫梦’作为母本与兰州百合杂交亲和性次之,而‘守望’和‘小玩意’作为母本与兰州百合杂交亲和性低。②直接授粉操作简便且普适性强。③SSR鉴定结果显示:‘甜糖’× 兰州百合、‘黑色魅力’× 兰州百合、‘虎宝宝’× 兰州百合、‘眼线’× 兰州百合、兰州百合 ב黑色魅力’、兰州百合 ב紫梦’的杂交后代共145株实生苗均为真杂种。  结论  兰州百合与不同品系百合亲和性存在差异,本研究筛选出了高亲和亲本‘甜糖’ ‘黑色魅力’;切割柱头授粉可改善‘虎宝宝’× 兰州百合的坐果率;SSR标记技术可以实现对杂种苗的早期准确鉴定。图2表6参34
月季枯枝病病原物鉴定、生物学特性与防治药剂筛选
武崇高, 朱桐, 崔云龙, 刘雪峰, 刘晴, 刁桂萍
2026, 43(2): 361-369. doi: 10.11833/j.issn.2095-0756.20250213
[摘要](2770) [HTML](1090) [PDF](118)
摘要:
  目的  明确辽宁省宽甸县月季Rosa chinensis枯枝病的病原菌种类,研究病原菌的生物学特性与防治药剂,为此病害的有效防控提供参考依据。  方法  利用组织分离法分离纯化病原菌,依据柯赫氏法则对该病害开展致病性试验,通过形态学观察与多基因系统发育学分析鉴定病原菌;采用菌丝生长速率法测定不同碳氮源培养基、pH和温度条件对病原菌生长的影响以及5种杀菌剂对病原菌菌丝生长的抑制作用。  结果  在烧伤接种处理下,分离获得的纯菌株R1007使月季枝条发病,并从发病枝条中再次分离到该菌株。R1007形态学特征与榆生丛赤壳Nectria ulmicola基本一致,Blast结果与系统发育分析中R1007与榆生丛赤壳的模式菌株CFCC52117表现出极高的亲缘性;单因素试验表明:菌株R1007在碳源为麦芽糖、氮源为酵母浸粉、pH为7.17和温度为25 ℃时菌丝生长速率最快;供试药剂对病原菌均有不同程度的抑制作用,其中多菌灵对病原菌的菌丝生长抑制效果最好,其抑制中浓度(EC50)为0.338 8 mg·L−1  结论  引起月季枯枝病的病原菌为榆生丛赤壳,该病原菌最适碳氮源分别为麦芽糖和酵母浸粉,最佳生长pH为7.17,温度为25 ℃,可用多菌灵作为防治月季枯枝病的潜在药剂。图5表2参28
黄土区典型林地土壤养分-酶活性-微生物多样性差异分析
黎志鹏, 毕华兴, 管凝, 黄浩博, 曾星, 康赛, 周韬, 邱婷
2026, 43(2): 370-380. doi: 10.11833/j.issn.2095-0756.20250224
[摘要](177) [HTML](59) [PDF](37)
摘要:
  目的  探究不同林分类型对土壤养分、酶活性及微生物多样性的影响,可为土壤功能提升以及从林地改良土壤的视角为研究区适宜树种选择提供理论依据。  方法  选择晋西黄土区5种典型林分(刺槐Robinia pseudoacacia纯林、油松Pinus tabulaeformis纯林、侧柏Platycladus orientalis纯林、油松-刺槐混交林、辽东栎Quercus wutaishanica-山杨Populus davidiana混交林,并以荒草地为对照,测定不同林地的土壤养分、酶活性及微生物多样性特征,结合高通量测序法、单因素分析法、冗余分析等分析土壤养分、土壤酶活性及微生物多样性的相互关系。  结果  ①林地土壤养分均优于荒草地,油松-刺槐混交林和辽东栎-山杨混交林的土壤全氮(TN)和有机质(SOM)质量分数均显著高于其他纯林(P<0.05)。②辽东栎-山杨混交林的土壤β-葡萄糖苷酶(BG)、亮氨酸氨基肽酶(LAP)、碱性磷酸酶(ALP)活性最高,油松纯林的土壤β-N-乙酰氨基葡萄糖苷酶(NAG)活性最高。③土壤细菌的ACE、Chao1和Shannon等α多样性指数普遍较高,但混交林营造显著增强了真菌群落的物种丰富度(P<0.05)。④土壤酶活性与土壤TN、ANC、NNC、AP和SOM质量分数相关显著(P<0.05),土壤微生物多样性与土壤TN、NNC质量分数密切相关(P<0.05)。土壤NAG、ANC是微生物群落的关键驱动因子。  结论  混交林相较于纯林及荒草地,在土壤养分积累、酶活性增强以及真菌多样性提升等方面表现出显著的正向效应。因此,基于林分改良土壤的视角,建议黄土区植被恢复和重建中优先考虑落叶阔叶或针叶阔叶树种为核心的混交林配置方案。图4表6参32
三江源退化高寒草甸土壤代谢产物特征及其与土壤环境因子的相关性
杨晓燕, 金辉, 戴璐, 黄先成, 陈吉祥, 秦波
2026, 43(2): 381-394. doi: 10.11833/j.issn.2095-0756.20250227
[摘要](231) [HTML](115) [PDF](56)
摘要:
  目的  探究三江源高寒草甸土壤代谢产物在退化影响下的变化特征、主要代谢通路的变化规律及其与土壤环境因子的相关性,为高寒草甸退化因子的解析和高寒草甸土壤环境对退化响应机制的研究提供科学依据。  方法  以青海省果洛藏族自治州玛沁县三江源国家公园高寒草甸为研究对象,通过非靶向代谢组学液相色谱-质谱联用技术( LC-MS/MS)研究未退化、轻度退化、中度退化以及重度退化高寒草甸土壤代谢产物特征,并分析高表达差异代谢物与土壤环境因子相关性。  结果  不同退化程度高寒草甸土壤中共鉴定出8 451个土壤代谢物,其中脂质和类脂分子类最为丰富(26.81%)。退化显著改变了土壤样本代谢物种类和含量,重度退化与未退化、轻度退化、中度退化比较组间的显著差异代谢物数量较其他比较组多。筛选出的不同退化高寒草甸土壤表达量TOP20标志性代谢物主要包括:羧酸及其衍生物、脂肪酰基、有机氮化合物、有机氧化合物、戊二烯醇脂质和鞘脂类化合物。亚油酸代谢、ABC 转运途径、磷脂酶D信号通路和鞘脂信号通路是不同退化高寒草甸土壤差异代谢物主要富集的代谢通路。冗余分析表明:不同退化程度高寒草甸土壤代谢物与土壤理化性质和酶活性之间存在显著相关性,如土壤有机质、含水量、全氮、全磷、pH和土壤脲酶与土壤代谢物显著相关。  结论  不同退化程度高寒草甸土壤标志性代谢物的种类、差异表达代谢物及主要代谢通路存在较大差异,且土壤代谢物与土壤有机质、含水量、全氮、全磷、pH和土壤脲酶等非生物环境因子呈显著相关性。图6表2参55
北京奥林匹克森林公园不同植被类型土壤呼吸时空动态特征
谢修强, 刘鹏, 赵洪贤, 李钦渊, 骆科梅, 查天山
2026, 43(2): 395-404. doi: 10.11833/j.issn.2095-0756.20250206
[摘要](522) [HTML](265) [PDF](116)
摘要:
  目的  探究城市森林不同植被类型土壤呼吸的时空动态特征及其影响因素,以期为区域碳预估提供理论参考。  方法  以北京奥林匹克森林公园为研究对象,采用便携式土壤呼吸测量仪,于2023年4—10月每月测定该公园26个样地(乔木群落与乔灌混交群落各13个)的土壤呼吸、土壤温度和土壤含水量,并结合高分辨率归一化植被指数,对土壤呼吸的季节与空间变化及其影响因素进行拟合分析。  结果  ①土壤呼吸和土壤温度的季节动态一致,均呈现先上升后下降单峰变化。乔木群落土壤呼吸均值为4.83 μmol·m−2·s−1,大于乔灌混交群落的4.42 μmol·m−2·s−1。②土壤温度可以分别解释乔木群落和乔灌混交群落土壤呼吸季节变化的90.0%和73.0%, 土壤含水量可以分别解释28.0%和37.0%,综合考虑温度−水分的双因子模型可以分别解释93.0%和82.0%。③乔灌混交群落土壤呼吸的空间变异系数与土壤含水量变化趋势相似,两者极显著正相关[决定系数(R2)为0.88,P<0.01],乔木群落土壤呼吸空间变化与土壤温度之间呈现极显著的非线性关系(R2=0.65,P<0.01)。④土壤呼吸对土壤温度的响应存在时空差异,时间上为近似直线增加,空间上为非线性响应,而土壤呼吸虽然时间和空间上都随土壤含水量的增加而增加,但其增加速率存在差异。  结论  城市森林土壤呼吸对环境因素的响应存在时空差异:土壤温度是主导城市森林土壤呼吸季节变化的主要因素,城市森林土壤呼吸空间变化主要影响因素在不同植被类型间存在差异。图6表2参38
不同火烈度对油松林林下植被物种多样性和土壤理化性质的影响
龚俊伟, 陈思帆, 冯浩育, 索奥丽, 童大龙, 陈锋, 刘晓东
2026, 43(2): 405-415. doi: 10.11833/j.issn.2095-0756.20250291
[摘要](647) [HTML](248) [PDF](120)
摘要:
  目的  探讨不同火烈度对林下植被物种多样性和土壤理化性质的影响,对火烧迹地森林生态系统恢复及可持续经营具有重要意义。  方法  以山西太岳山油松Pinus tabuliformis林火烧后4 a的迹地为研究对象,采用野外调查和室内分析相结合的方法,研究不同火烈度(低烈度火烧、中烈度火烧、高烈度火烧和未过火)样地林下植被物种多样性和土壤理化性质的差异性和变化趋势,以及火后物种多样性对土壤理化性质的短期响应。  结果  ①共记录维管束植物50种,分属于20科43属,草本层低烈度火烧样地和灌木层中烈度火烧样地物种数高于未过火样地。②灌木层中,Shannon-Wiener指数、Simpson指数、Margalef指数从大到小依次均为中烈度火烧样地、高烈度火烧样地、未过火样地、低烈度火烧样地,Pielou指数从大到小依次为高烈度火烧样地、中烈度火烧样地、未过火样地、低烈度火烧样地。草本层中,Shannon-Wiener指数和Margalef指数在低烈度火烧样地较未过火样地分别显著增加了21.38%和47.55% (P<0.05),Simpson指数和Pielou指数在高烈度火烧样地较未过火样地分别显著增加了20.00%和19.40% (P<0.05)。③不同火烈度极显著影响土壤理化性质(P<0.01),土壤含水率、总孔隙度随着火烈度升高而下降,全磷、全钾质量分数随着火烈度升高呈先下降再上升的变化趋势,在中烈度火烧样地最低。土壤总孔隙度以及土壤有机碳、全氮、速效钾质量分数在不同火烈度样地均随土层的加深而降低。④冗余分析结果表明:0~10 cm土层中的土壤含水率、毛管孔隙度、全钾质量分数和10~20 cm土层中的速效磷质量分数、土壤总孔隙度、速效钾质量分数是显著影响灌木层、草本层物种多样性的土壤因子。  结论  低烈度火烧、中烈度火烧对油松林群落的植被更新具有一定促进作用,土壤含水率和速效磷等理化性质是驱动火后物种多样性分异的关键因子。图2表4参48
浙江省岱山岛典型森林群落树种组成与结构
周心悦, 俞狄虎, 黄劲, 高浩杰, 王震明, 欧候辉, 余树全
2026, 43(2): 416-425. doi: 10.11833/j.issn.2095-0756.20250196
[摘要](495) [HTML](174) [PDF](115)
摘要:
  目的  探索浙江省岱山岛森林群落树种的组成和结构,为海岛森林群落的修复提供树种组合模式参考。  方法  利用样方调查法,调查样地(100 m×100 m)内胸径≥1 cm的木本植物,分析其树种组成、区系成分、径级结构、物种多样性、树种组合等特征。  结果  岱山岛样地内共有木本植物8 767株,隶属18科28属29种,平均树高为4.11 m,平均胸径为4.35 cm。麻栎Quercus acutissima、樟树Cinnamomum camphora和天仙果Ficus erecta等为该群落的主要优势树种。在科水平上,群落树种的世界分布占27.78%,热带成分占50.00%,温带成分占22.22%;在属水平上,热带成分占64.29%,温带成分占28.57%,中国特有占7.14%。样地树种径级结构呈倒“J”型分布,小径级和较小径级的植物数量占比达91.80%。群落Shannon-Wiener多样性指数、Pielou均匀度指数、Simpson多样性指数和Margalef丰富度指数分别为1.28、0.38、0.50、3.08。群落有樟树-麻栎、水杉Metasequoia glyptostroboides-麻栎、麻栎-天仙果等具有较好恢复力的树种组合。  结论  岱山岛森林群落以麻栎、樟树、天仙果、细齿叶柃Eurya nitida、枸骨Ilex cornuta等为优势树种,径级结构呈现倒“J”型分布。该群落植物区系以热带成分占主导,群落整体上树种分布不均匀,形成了不同的树种组合。图4表4参30
基于GTWR-GBRT模型的“三江并流”区域森林碳储量估算
周贞艳, 刘畅, 宋谢忱
2026, 43(2): 426-434. doi: 10.11833/j.issn.2095-0756.20250346
[摘要](575) [HTML](232) [PDF](122)
摘要:
  目的  森林碳储量在全球气候系统中扮演着重要角色,对实现碳达峰、碳中和目标具有重要的参考价值。模型方法是估测森林碳储量的有效手段,而提高模型预估精度是当前需要重点解决的问题。  方法  结合国家森林资源调查数据和Landsat 7、8遥感影像,分别利用时空地理加权回归(GTWR)、随机森林(RF)、梯度提升回归树(GBRT)以及组合模型GTWR-RF、GTWR-GBRT进行建模,选出最优模型估测2012—2021年“三江并流”区域的森林碳储量。  结果  ①GTWR模型同时考虑了空间和时间维度,GBRT在解释空间异质性方面存在明显局限,单一模型应用时解释力仍有限,而两阶段顺序混合模型组合的表现优于单一模型,在解决空间异质性及碳储量与变量之间的非线性问题上效果更佳;②GTWR-GBRT模型拟合效果最佳,决定系数(R2)达0.98,预测精度(A)为0.90,相对均方根误差(rRMSE)为5.91,优于其他4个模型,表明在估算森林碳储量时,同时考虑时空异质性和非线性的组合是必要的;③研究区森林碳储量呈空间正相关性,利用GTWR-GBRT模型估测2012—2021年森林碳储量,森林碳储量总体分布并不均匀,主要分布在高海拔地区,呈现西高东低、局部偏高的分布格局。  结论  相较于各类单一模型及其他组合模型,GTWR-GBRT组合模型表现出最优的拟合与预测性能,说明融合时空特征与非线性的两阶段混合模型能更精准地估算森林碳储量。图3表6参30
文献综述
机械化再生稻种植模式下机收减损与高产农艺研究综述
铁欠芳, 石晓燕, 薛向磊, 俞国红
2026, 43(2): 435-444. doi: 10.11833/j.issn.2095-0756.20250549
[摘要](197) [HTML](103) [PDF](67)
摘要:
再生稻种植具有“一种两收”、轻简高效、环境友好等显著优势,对保障粮食安全具有重要意义。头季机收的碾压损伤是制约再生季产量的核心问题。本文系统综述了机械化再生稻种植模式下机收减损与高产农艺的研究进展,重点聚焦于两方面问题。一是聚焦机收减损技术与装备创新,包括再生稻专用收割机底盘(轮式与履带式)的优化、轻量化设计、稻茬扶正装置、智能化路径规划及“宽窄行”农艺配套技术,通过农机改良与作业优化,最大限度降低碾压伤害;二是聚焦高产稳产农艺措施,包括强再生力耐碾压品种的筛选、基于光热资源的“早播早栽”与适时收获策略以及依据留桩高度的水肥协同动态调控技术,通过农艺品种优势与高产措施,构建高产稳产体系。总体而言,在机器换人的背景下,实现再生稻“两季双高产”的根本在于推动“品种-农艺-农机”的深度融合与系统优化,构建贯穿产前、产中、产后的全程一体化技术体系,从而有效缓解机收损失,充分释放再生稻的产量潜力与综合效益,为促进水稻生产可持续发展提供理论依据与技术支撑。参74
黄精活性成分提取工艺研究进展
钱凡, 沈阳辉, 史颖, 刘京晶
2026, 43(2): 445-456. doi: 10.11833/j.issn.2095-0756.20250173
[摘要](644) [HTML](210) [PDF](68)
摘要:
黄精是传统的食药同源物质,富含多糖、皂苷、黄酮等多种营养与功效成分,具有增强免疫功能、抗疲劳、调节血糖、调节肠道菌群等功效。随着大健康产品需求的增长,黄精提取物常应用于中成药和保健食品的配伍。讨论了黄精活性成分提取工艺,并从生产实际和科学研究2个方面进行了小结与展望。总结提取方法发现:目前对于黄精中主要活性成分的提取,尤其是工业化生产过程中,大多仍采用传统的回流提取法,虽成本低但损耗多、效率低。重点介绍了超声波协同酶提取等新方法在多糖、皂苷类成分提取中的优势,新方法的得率可达传统方法的1.5~3.3倍。指出黄精中特有的小极性高异黄酮现有提取方法的不足。建议根据目标物的性质组合或开发出针对性的提取技术,改良的提取工艺可提高黄精活性成分的得率。参96

双月刊,创刊于1984

主管:浙江省教育厅

主办:浙江农林大学

主编:吴家胜

编辑: 《浙江农林大学学报》编辑部

电话:0571-63732749

E-mail:zlxb@zafu.edu.cn

扫一扫,关注微信公众号


小程序


微店购买


淘宝购买


元宇宙中心


x 关闭 永久关闭