留言板

尊敬的读者、作者、审稿人, 关于本刊的投稿、审稿、编辑和出版的任何问题, 您可以本页添加留言。我们将尽快给您答复。谢谢您的支持!

姓名
邮箱
手机号码
标题
留言内容
验证码

当期目次

封面
2026 年 2 期封面
2026, 43(2).
[摘要](141) [HTML] (49) [PDF](137)
摘要:
2026 年 2 期目次
2026, 43(2): 1-2.
[摘要](132) [HTML] (60) [PDF](130)
摘要:
特色经济林果种质资源与抗逆生理专题
香榧僵果主要病原菌的分离鉴定及生物学特性
楼科勋, 楼君, 赖思思, 叶浩杰, 喻卫武, 方南寿, 胡渊渊
2026, 43(2): 229-241. doi: 10.11833/j.issn.2095-0756.20250575
[摘要](265) [HTML] (82) [PDF](76)
摘要:
  目的  每年4月,香榧Torreya grandis ‘Merrillii’结果枝上有89%的果实为僵果,其假种皮未突破种鳞,内部珠心褐化萎缩。目前关于香榧僵果形成的机制仍不清楚。研究香榧僵果的发生机制,可为制定有效的防治措施提供理论依据。  方法  以距香榧果实突破种鳞的时间(D)作为记录发育进程指标,突破种鳞当天记为D=0,隔一定时间采集香榧种实珠心样品,采用组织分离法对不同发育时期的香榧果实珠心组织进行病原菌分离和纯化,结合形态学、多基因联合系统发育分析及科赫法则验证,鉴定香榧僵果的优势致病菌种类,并分析其生物学特性。  结果  ①在D为−207~21 d时,从香榧果实珠心组织分离出的病原菌中,枝孢属Cladosporium的分离率和分离频率均最高。根据菌落形态,这些枝孢属真菌可分为5种类型。接种这5种枝孢属真菌的代表菌株及混合菌株的孢子液均可诱发香榧珠心褐化,其中回接混合菌株孢子液后的香榧珠心褐化表型与僵果的褐化珠心最为相似。②通过形态学鉴定及多基因序列分析,鉴定出5种主要枝孢属致病菌株分别为绳状枝孢菌C. funiculosum TGZX1、尖孢枝孢菌C. oxysporum TGZX2、贵州枝孢菌C. guizhouense TGZX3、极细枝孢菌C. tenuissimum TGZX4和微糙枝孢菌C. scabrellum TGZX5。③5种枝孢属真菌生长的最适温度均为20~25 ℃。TGZX1-1、TGZX2-1、TGZX3-1、TGZX4-1和TGZX5-1的最适碳源分别为可溶性淀粉、甘露醇、葡萄糖、麦芽糖和麦芽糖,最适氮源均为胰蛋白胨,且这些菌株均能在黑暗条件下生长。  结论  香榧僵果是由5种枝孢属真菌复合侵染所致。这与雌球花在授粉期易受枝孢属真菌侵染密切相关。在香榧雌花期采取防控措施是有效防治僵果形成的关键。图6表1参34
山核桃生理落果特点及调控研究
李俊, 张进, 安轶, 江成, 何浙华, 吴永强, 卢孟柱
2026, 43(2): 242-249. doi: 10.11833/j.issn.2095-0756.20250284
[摘要](265) [HTML] (53) [PDF](68)
摘要:
  目的  山核桃 Carya cathayensis落果严重影响了产量和经济效益。揭示浙江山核桃果实脱落特征,探讨2种活性氧清除剂(碘化钾和没食子酸丙酯)在缓解山核桃落果中的调控作用。  方法  以浙江淳安、临安地区山核桃为研究对象,在2023和2024年分别喷施不同浓度的碘化钾(3.0、5.0和10.0 mmol·L−1)和没食子酸丙酯(0.1、0.3和0.5 mmol·L−1)溶液,以喷施水作为对照组,计算落果率。通过3,3'-二氨基联苯胺(DAB)和硝基蓝四氮唑(NBT)染色法检测果实组织活性氧水平,分析果实脱落过程中活性氧的动态变化。  结果  山核桃在4—6月出现大量生理落果,2023和2024年的自然落果率分别达89.55%±2.43%和80.09%±4.05%。果实脱落有2种特征:果实直接与枝条分离或果实连同果柄与枝条分离。2023和2024年喷施活性氧清除剂处理后,3.0 mmol·L−1碘化钾处理组的落果率分别为57.24%±8.60%和61.22%±2.75%;0.5 mmol·L−1 没食子酸丙酯处理组的落果率分别为51.85%±3.15%和45.77%±2.17%,均显著低于对照(P<0.05)。组织化学分析显示:离区活性氧水平在脱落前明显升高,而碘化钾和没食子酸丙酯处理有效降低了果实组织中的活性氧积累。  结论  山核桃落果集中发生于4—6月。活性氧在离层形成过程中起关键作用,3.0 mmol·L−1 碘化钾和0.5 mmol·L−1 没食子酸丙酯通过清除活性氧显著降低了落果率。图4表1参27
甜橙FW2.2家族基因鉴定及在果实细胞分裂期的表达分析
许园园, 郭玲霞, 范明慧, 殷姿, 韩健, 李菲菲, 周铁, 陈鹏
2026, 43(2): 250-259. doi: 10.11833/j.issn.2095-0756.20250431
[摘要](395) [HTML] (192) [PDF](99)
摘要:
  目的  鉴定甜橙Citrus sinensis FW2.2基因家族成员,分析FW2.2家族成员的结构特征及其在果实细胞分裂期的表达模式,为探究FW2.2在甜橙果实发育中的基因功能提供理论依据。  方法  以甜橙全基因组数据为基础筛选确定甜橙FW2.2家族成员。运用生物信息学方法预测分析其基因结构、序列特征、染色体定位和顺式作用元件,并与多个物种的FW2.2家族序列构建发育进化树。利用实时荧光定量聚合酶链式反应(RT-qPCR)技术分析甜橙FW2.2家族基因在甜橙果实细胞分裂时期的表达趋势。  结果  FW2.2家族在甜橙基因组中有16个成员。它们分布在6条染色体上,长度为100~563个氨基酸,含有2个以上的保守基序,主要定位在细胞膜。进化分析表明:甜橙、番茄Solanum lycopersicum、梨Pyrus bretschneideri、桃Prunus persica、玉米Zea mays及水稻Oryza sativaFW2.2成员分为6个亚组。顺式元件分析显示:FW2.2家族基因启动子上均含有与激素、生长发育、非生物胁迫相关的元件。基因表达分析表明:FW2.2家族成员在果实细胞分裂期的表达趋势存在差异。CsFWL5CsFWL6CsFWL12在果实细胞分裂期的表达量显著降低,且与细胞层数增长呈极显著负相关(P<0.01)。  结论  CsFWLs成员在进化过程中表现出一定的保守性,且跟梨、桃、番茄等作物FWLs基因序列存在相似性。甜橙FW2.2基因家族成员间功能不同,其中甜橙CsFWL5/6/12可能参与调控果实细胞分裂过程。图6表3参33
不同品种宁夏枸杞种实表型性状变异分析及综合评价
王嘉栋, 张璇, 杨改儿, 段淋渊, 戴国礼, 张波, 李翔
2026, 43(2): 260-271. doi: 10.11833/j.issn.2095-0756.20250225
[摘要](455) [HTML] (119) [PDF](114)
摘要:
  目的  对不同品种宁夏枸杞Lycium barbarum种实性状进行测定分析,探究种实性状的变异规律,为枸杞良种选育以及品种开发利用提供理论基础。  方法  以枸杞种质资源收集圃的14个品种宁夏枸杞(10种红果、4种黄果)为研究对象,测定其种实性状,并进行相关性分析、变异系数分析、聚类分析、主成分分析和综合评价。  结果  ①枸杞果实与种子大小、果柄长度呈显著正相关(P<0.05)。②不同品种宁夏枸杞种实性状的变异系数为0.17%~59.08%,平均变异系数为19.16%,变异较为丰富,表型多样化程度高,且种内与种间均呈显著差异(P<0.05);果实性状的变异系数(19.69%)高于种子(17.17%),与种子相比,果实性状变异较大。③‘宁农杞20号’‘Ningnongqi 20’在不同维度聚类下均与红果枸杞聚为一类,其种实性状变异规律与红果枸杞较为相似。‘宁农杞4号’‘Ningnongqi 4’在4种聚类方式下均单独为Ⅰ类,其种实性状存在独特的变异。④主成分分析显示:前4个主成分的累计贡献率为74.478%,保留了原始性状中的大部分遗传信息,其中黏着性、胶着性、咀嚼性、果长、果宽、果形指数、种子长、种子宽、种子千粒重是主成分影响较大的几个性状。⑤对14个品种宁夏枸杞进行综合评分发现:‘宁农杞4号’排名第1位,‘宁杞3号’‘Ningqi 3’、‘宁农杞20号’与‘宁杞9号’‘Ningqi 9’分别排名为2、3、4位。  结论  14个品种宁夏枸杞的种实表型性状变异幅度大,‘宁农杞4号’的综合得分最高,具有较优的质构特性,其高硬度可能适合机械化采收,而其低弹性提示加工时需调整工艺参数。图3表7参40
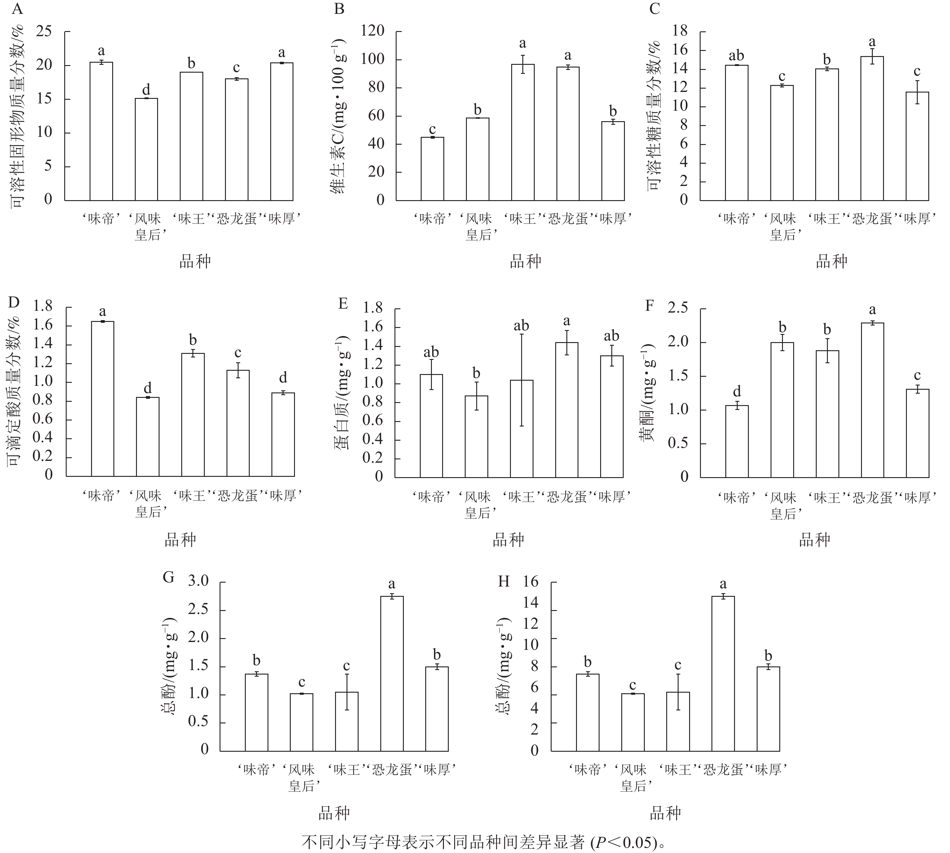
阿克苏地区5个杏李品种果实品质分析
徐惠, 吴翠云, 房志刚, 吉银中, 曹怡霖, 王明, 孙雅丽
2026, 43(2): 272-282. doi: 10.11833/j.issn.2095-0756.20250268
[摘要](384) [HTML] (180) [PDF](93)
摘要:
  目的  探究阿克苏地区5个杏李Prunus simonii品种的果实形态特征、果实外观、果实质地及果实内在品质的差异,提出适宜阿克苏地区适宜的杏李品种。  方法  2024年在新疆阿克苏地区温宿县佳木镇的杏李园进行田间试验,对6年生的5个杏李品种进行果实外观、果实质地、可溶性糖、可溶性固形物、可滴定酸、维生素C、糖酸组分等测定,分析不同品种果实品质的差异。  结果  外观方面,‘恐龙蛋’‘Konglongdan’和‘味厚’‘Weihou’的平均单果质量为100~120 g,其余3个品种单果质量为50~80 g;其中‘味王’‘Weiwang’的L*和a*分别为68.23和16.68,果实色泽鲜亮。营养方面,‘味王’的维生素C质量分数最高,为0.967 8 mg·g−1;‘恐龙蛋’的可溶性糖质量分数最高,为15.37%,‘味帝’‘Weidi’的可滴定酸质量分数最高,为1.65%;‘味帝’的可溶性固形物质量分数最高,为20.47%;‘恐龙蛋’的黄酮、总酚和蛋白质质量分数最高,分别为2.29、2.75和1.44 mg·g−1。糖酸组分方面,糖组分以山梨醇积累为主,酸组分以柠檬酸积累为主。‘风味皇后’‘Fengweihuanghou’的果糖、葡萄糖及山梨醇质量分数均高于其他品种,‘味厚’的蔗糖质量分数(32.83 mg·g−1)显著高于其余4个品种(P<0.05);‘味帝’的柠檬酸和抗坏血酸质量分数显著高于其余4个品种(P<0.05),分别为10.03和0.34 mg·g−1;在酸的类别上,仅有‘味帝’含有琥珀酸,但‘风味皇后’不含富马酸。经主成分分析对果实品质进行综合评价,得分由高到低分别为‘恐龙蛋’‘味王’‘味厚’‘风味皇后’和‘味帝’。  结论  ‘味帝’的糖酸均衡,口感较为柔顺,但果实相对较小,所以导致排名相对靠后,就果实品质综合来看:‘恐龙蛋’不仅果实大,各种营养物质较高且相对均衡,更适宜在阿克苏地区大面积推广种植。图5表6参37
研究论文
基于高光谱成像与集成模型的烟草种子活力分类研究
潘威, 邓书文, 杨晓东, 乔雨, 梅媛, 张立猛, 关亚静
2026, 43(2): 283-292. doi: 10.11833/j.issn.2095-0756.20250418
[摘要](331) [HTML] (147) [PDF](85)
摘要:
  目的  针对微小粒烟草Nicotiana tabacum种子,构建一种基于高光谱成像与集成模型的无损活力快速分类方法。  方法  以烟草品种‘MS云烟87’‘MS-Yunyan 87’、‘红花大金元’‘Honghua Dajinyuan’、‘云烟99’ ‘Yunyan 99’为材料,设置多个劣变梯度,获取不同处理种子的群体高光谱数据。综合发芽势、根长、苗高等各项指标,按权重形成活力指数,并以阈值划分高低活力标签。所有光谱数据经卷积平滑(SG)降噪后,以无信息变量消除算法(UVE)筛选出判别波段,基于精简特征训练 CNN-LightGBM分类器,并以独立品种数据进行外部验证。  结果  随劣变时长增加,活力指数整体显著下降,48、72及96 h的劣变处理种子几乎全部归为低活力组,表明所定阈值具有良好的分界效应。与不同特征选择模型组合相比,UVE所得精简特征配合CNN-LightGBM的综合表现最佳,测试集准确率为88.90%、召回率为97.40%、F1分数为91.40%。模型在烟草品种‘MS121’数据上的有效性验证中总体准确率达85.58%,体现出模型良好的跨批次与跨品种泛化能力。  结论  建立了SG预处理与UVE特征波段筛选方法结合CNN-LightGBM模型的策略,可实现微小粒烟草种子活力的高效、无损分类,具备向其他微小粒作物种子迁移应用的潜力,为微小粒作物种子质量监测提供了新思路。图6表2参25
慈竹竹叶黄酮成分鉴定及对α-淀粉酶和α-葡萄糖苷酶的抑制作用
付正建, 董仕豪, 徐柠檬, 王曙光, 范方宇, 郭磊
2026, 43(2): 293-302. doi: 10.11833/j.issn.2095-0756.20250261
[摘要](429) [HTML] (236) [PDF](95)
摘要:
  目的  通过对慈竹Neosinocalamus affinis竹叶中的黄酮类化合物进行组分鉴定,并探究竹叶黄酮对α-葡萄糖苷酶以及α-淀粉酶的抑制作用,为慈竹竹叶资源的深度利用和开发提供理论依据。  方法  以慈竹竹叶为原料,通过大孔树脂纯化得到纯化竹叶黄酮,使用超高效液相色谱-质谱技术对纯化竹叶黄酮的化学成分进行了鉴定,并通过体外试验探究了纯化竹叶黄酮对α-淀粉酶和α-葡萄糖苷酶活性的抑制作用,以及纯化竹叶黄酮降血糖的作用机制。  结果  慈竹竹叶提取物中共鉴定出18种黄酮类化合物,包括甘草黄酮醇、表紫草氰苷Ⅱ、宝藿苷Ⅰ等黄酮类化合物;体外试验结果显示:纯化竹叶黄酮对α-淀粉酶和α-葡萄糖苷酶都存在抑制作用,当纯化竹叶黄酮质量浓度为0.5 mg·mL−1时,对α-淀粉酶的抑制率为79.71%±5.02%,半抑制质量浓度(IC50)为(0.057±0.005) mg·mL−1;对α-葡萄糖苷酶的抑制率为74.17%±6.17%,IC50为(0.071±0.004) mg·mL−1,纯化竹叶黄酮对这2种酶的抑制类型都呈现出竞争性-非竞争性混合抑制。  结论  根据酶活性抑制动力学试验结果表明:慈竹竹叶中的黄酮类化合物可能是降血糖的活性成分之一。图3表4参34
过表达紫花苜蓿ChOMT基因创制高异黄酮营养强化番茄
张杨, 诸燕, 韩之刚, 杨美森, 斯金平, 陈东红
2026, 43(2): 303-309. doi: 10.11833/j.issn.2095-0756.20250186
[摘要](420) [HTML] (160) [PDF](121)
摘要:
  目的  基于紫花苜蓿Medicago sativa高异黄酮合成酶基因ChOMT,构建转基因高异黄酮番茄Solanum lycopersicum植株,从而实现番茄的营养强化。  方法  利用农杆菌介导法将ChOMT转入番茄,通过聚合酶链式反应(PCR)和荧光检测进行转基因鉴定,进一步采用植物广泛靶向代谢组学技术和多元统计分析方法,对高异黄酮相对含量进行精准定量分析。  结果  经PCR和荧光检测获得ChOMT转基因阳性植株,与野生型相比,高异黄酮相对含量显著提升,其中(3RS)-5,7-dihydroxy-3-(2-hydroxy-4-methoxybenzyl)-chroman-4-one (HIF1)在转基因番茄叶片中的相对含量为57 019,对比野生型叶片中的相对含量(220)增加了260倍,5,7-dihydroxy-3-(4-hydroxybenzyl)-chroman-4-one (HIF2)在转基因番茄果实中的相对含量为15 849 985,对比野生型的相对含量(3 849)提高了4 000余倍。  结论  成功获得了ChOMT转基因番茄,不仅为解析ChOMT在植物体内的催化功能提供了理论依据,同时也为培育高异黄酮遗传改良番茄品种奠定了重要的种质资源基础。图6参28
染色体臂置换系CASL3AL早抽穗候选基因分析
董建浩, 陈良朋, 赵燕昊, 向琼瑶, 胡鑫
2026, 43(2): 310-319. doi: 10.11833/j.issn.2095-0756.20250260
[摘要](214) [HTML] (84) [PDF](78)
摘要:
  目的  小麦Triticum aestivum的抽穗期是决定产量和品质的关键农艺性状。‘中国春’T. aestivum ‘Chinese Spring’(CS)-野生二粒小麦T. turgidum var. dicoccoides染色体臂置换系CASL3AL在多环境种植下均表现为早抽穗,通过转录组探究其幼穗发育关键时期的调控基因。  方法  以野生二粒小麦染色体臂置换系CASL3AL×CS的重组自交系(RILs)为材料,筛选出稳定的早熟株系1017-7-167-1、1017-10-311-15-5,以及晚熟亲本CS。分别采集单棱期(W1.5)和二棱期(W2.5)的主茎叶片,进行转录组测序(RNA-Seq)。  结果  2个早熟株系的纯合单核苷酸多态性(SNP)位点均主要富集在3A染色体区段。差异表达分析显示:1017-7-167-1在单棱期和二棱期分别鉴定到4 172和169个差异表达基因(DEGs),1017-10-311-15-5分别为1 065和172个。基因本体(GO)富集分析表明:DEGs主要参与昼夜节律、花器官发育等过程。根据SNP富集结果和表达量差异,在3A染色体SNP富集区域筛选到了2个候选基因:TraesCS3A02G432900TraesCS3A02G139300  结论  筛选了野生二粒小麦促进普通小麦早抽穗的候选基因,为小麦生育期改良提供理论依据。图9表1参32
322份玉米种质生育期性状的全基因组关联分析
陈勇, 骆遥, 沈晓斌, 朱凯, 任赞, 赵光武, 韩庆辉, 王洋
2026, 43(2): 320-330. doi: 10.11833/j.issn.2095-0756.20250210
[摘要](544) [HTML] (157) [PDF](106)
摘要:
  目的  玉米Zea mays生育期是从播种到成熟的完整生长周期,其关键表征性状包括抽雄期、散粉期和吐丝期等。发掘调控玉米生育期的关键基因对于优化玉米生产,促进产业提质增效具有重要意义。  方法  2022和2023年,利用322份玉米种质资源在浙江东阳、海宁对抽雄期、散粉期和吐丝期等性状进行调查,并结合基因型重测序数据对上述性状进行全基因组关联分析。  结果  抽雄期、散粉期和吐丝期性状频率分布呈单峰型曲线,符合正态分布。全基因组关联分析发现:在抽雄期,322份玉米种质2022年东阳、2022年海宁、2023年东阳、2023年海宁4个试点分别定位到单核苷酸多态性(single nucleotide polymorphism,SNP)相关位点61、27、281、57个,解释表型变异范围为7.26%~10.68%,在10条染色体上均有分布;在散粉期,分别定位到相关位点51、26、424、58个,解释表型变异范围为7.25%~11.80%,主要分布在1、2、3、7、8、9、10号染色体上;在吐丝期,分别定位到相关位点47、277、212、1 169个,解释表型变异范围为7.25%~41.26%,主要分布在1、2、3、4、7、8、10号染色体上。4个试点中分别定位到抽雄期、散粉期、吐丝期重叠的SNP位点49、53、24个,综合SNP位点信息、基因注释、基因组织表达谱等,最终筛选到6个玉米生育期关键候选基因。  结论  抽雄期、散粉期和吐丝期性状均呈正态分布,并定位到大量环境特异性及重叠SNP位点,最终筛选出6个生育期关键候选基因,为玉米生育期遗传改良及产业高质量发展提供了重要基因资源。图8表3参44
3种黄连木属植物叶绿体基因组结构特征及遗传关系
周泽霖, 向长武, 张少军, 陈日美, 何杰祖, 牙璋, 黄毅, 劳广杰
2026, 43(2): 331-339. doi: 10.11833/j.issn.2095-0756.20250221
[摘要](385) [HTML] (114) [PDF](107)
摘要:
  目的  开展3种黄连木属Pistacia植物叶绿体基因组的对比分析,旨在解析其结构特征及遗传进化关系。  方法  以美国国家生物技术信息中心(NCBI)的3种黄连木属植物叶绿体基因组为材料,利用生物信息学手段对其叶绿体基因组结构、重复序列、核苷酸多态性及遗传关系开展分析。  结果  3种黄连木属植物叶绿体基因组均呈四分体环状结构,且蛋白编码序列(CDS)、核糖体RNA (rRNA)及转运RNA (tRNA)的数目完全一致;简单重复序列统计显示:以单核苷酸中的A (34.35%)或T (39.69%)重复单元为主,但未检测到六核苷酸。散在重复序列统计显示:以回文重复(105个)、正向重复(76个)为主,但未检测到反向重复;3种黄连木属植物叶绿体基因组在大单拷贝区(LSC)、小单拷贝区(SSC)区域的基因间隔区(CNS)序列有不同程度的变异,但在四分体边界附近的基因在收缩或扩张上均无明显差异;核苷酸多态性分析在LSC区及LSC与反向重复b区(IRb)的边界检测到5个高度变异序列(matKtrnG-UCC~trnR-UCUtrnT-UGU~trnL-UAApetD~rpoArpl22~rpl2);遗传进化关系显示:黄连木属植物与盐肤木属Rhus植物相互分开,中国黄连木P. chinensis与清香木P. weinmaniifolia关系亲近,而阿月浑子P. vera与大西洋黄连木P. atlantica可单独划分一支。  结论  3种黄连木属植物叶绿体基因组结构类似且相对保守,在各类基因数量上保持一致;检测出的5个变异序列可作为黄连木属植物的候选分子标记;中国黄连木与清香木在遗传关系上更为亲近,而阿月浑子与前两者相对疏远。图6表1参46
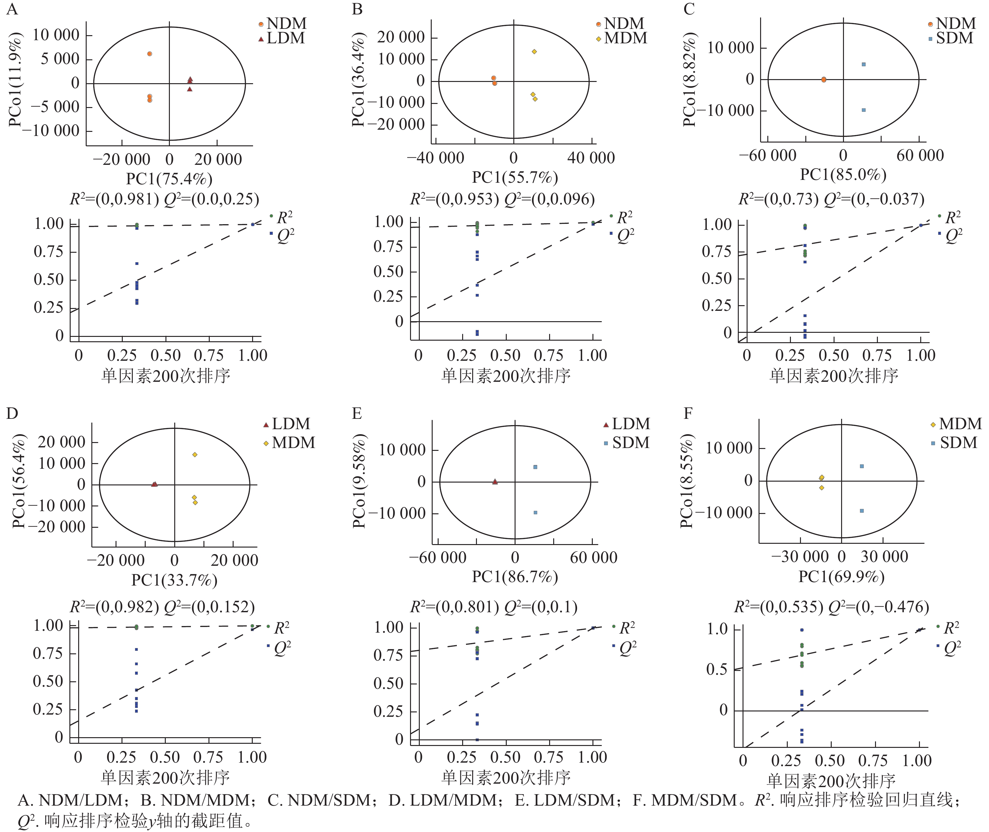
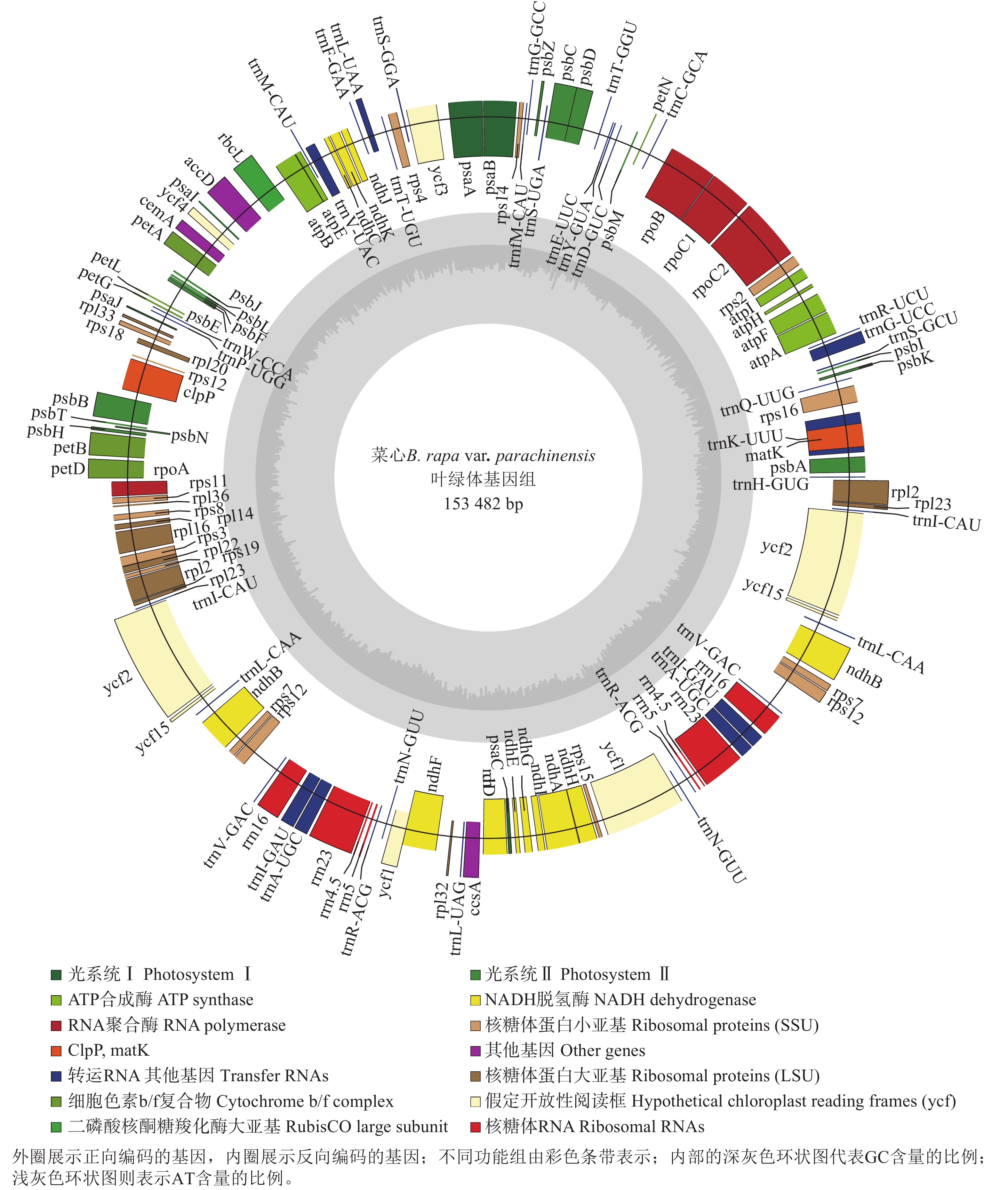
菜心叶绿体基因组特征及系统发育分析
柳婷婷, 许丽爱, 胡紫蔚, 熊兴鹏, 安霞, 曹家树
2026, 43(2): 340-350. doi: 10.11833/j.issn.2095-0756.20250279
[摘要](807) [HTML] (413) [PDF](143)
摘要:
  目的  对菜心Brassica rapa var. parachinensis叶绿体基因组进行组装、注释和分析,揭示其与其他十字花科Brassicaceae植物的系统进化关系。  方法  利用Illumina NovaSeq 6000平台对菜心叶绿体全基因组测序,利用生物信息学的手段分析其叶绿体基因组结构、重复序列、核苷酸多样性、密码子偏好性,以及结合其他25种十字花科植物叶绿体基因组序列构建系统发育关系。  结果  菜心叶绿体基因组全长为153 482 bp,GC含量为36.36%,是典型的四分体结构;共注释到132个编码基因,其中86个蛋白质编码基因、37个tRNA基因、8个rRNA基因,以及1个假基因;密码子偏好性分析结果显示:亮氨酸的使用频率最高,相对同义密码子使用度大于1的密码子有31个,多以A或者U结尾;共有37个散在重复序列,315个简单重复序列,其中单核苷酸重复占比最高,为72.70%;小单拷贝区的核苷酸多样性最高,反向重复区的核苷酸多样性最低;系统发育分析结果显示:菜心与其他白菜类蔬菜亲缘关系最近。  结论  菜心叶绿体基因组为典型的四分体结构,相对保守,与普通白菜B. rapa var. chinensis、紫菜薹B. rapa var. purpuraria、大白菜B. rapa subsp. pekinensis等亲缘关系密切。图5表3参39
兰州百合远缘杂交亲和性及后代真实性检验
刘惠玉, 刘一洁, 谭博毫, 马小鸥, 董钦金, 蒙敏, 魏启森, 孙明
2026, 43(2): 351-360. doi: 10.11833/j.issn.2095-0756.20250420
[摘要](558) [HTML] (308) [PDF](141)
摘要:
  目的  研究兰州百合Lilium davidii var. unicolor与不同品系观赏百合Lilium杂交亲和性,为培育多用途优良百合新品种提供种质资源和技术支撑。  方法  对所有供试百合花粉活力进行检验,根据结果配置以兰州百合为父本,‘虎宝宝’ ‘Tiger Babies’、‘紫梦’ ‘Purple Dream’、‘黑色魅力’ ‘Black Charm’、‘甜糖’ ‘Sweet Sugar’、‘眼线’ ‘Eye Liner’、‘小玩意’ ‘Gizmo’、‘守望’ ‘Watch Up’为母本,以及以兰州百合为母本,‘紫梦’‘黑色魅力’‘守望’为父本的10个杂交组合。采用直接授粉、切割柱头授粉、1 g·L−1萘乙酸(NAA)水溶液涂抹柱头授粉3种方式进行杂交,结合花粉管生长和结实情况评价组合亲和性,并利用简单重复序列标记(SSR)技术对胚培养获得的杂种实生苗进行真实性检验。  结果  ①杂交亲和性评价表明:‘甜糖’ ‘黑色魅力’作为母本与兰州百合杂交亲和性较高,‘眼线’ ‘虎宝宝’ ‘紫梦’作为母本与兰州百合杂交亲和性次之,而‘守望’和‘小玩意’作为母本与兰州百合杂交亲和性低。②直接授粉操作简便且普适性强。③SSR鉴定结果显示:‘甜糖’× 兰州百合、‘黑色魅力’× 兰州百合、‘虎宝宝’× 兰州百合、‘眼线’× 兰州百合、兰州百合 ב黑色魅力’、兰州百合 ב紫梦’的杂交后代共145株实生苗均为真杂种。  结论  兰州百合与不同品系百合亲和性存在差异,本研究筛选出了高亲和亲本‘甜糖’ ‘黑色魅力’;切割柱头授粉可改善‘虎宝宝’× 兰州百合的坐果率;SSR标记技术可以实现对杂种苗的早期准确鉴定。图2表6参34
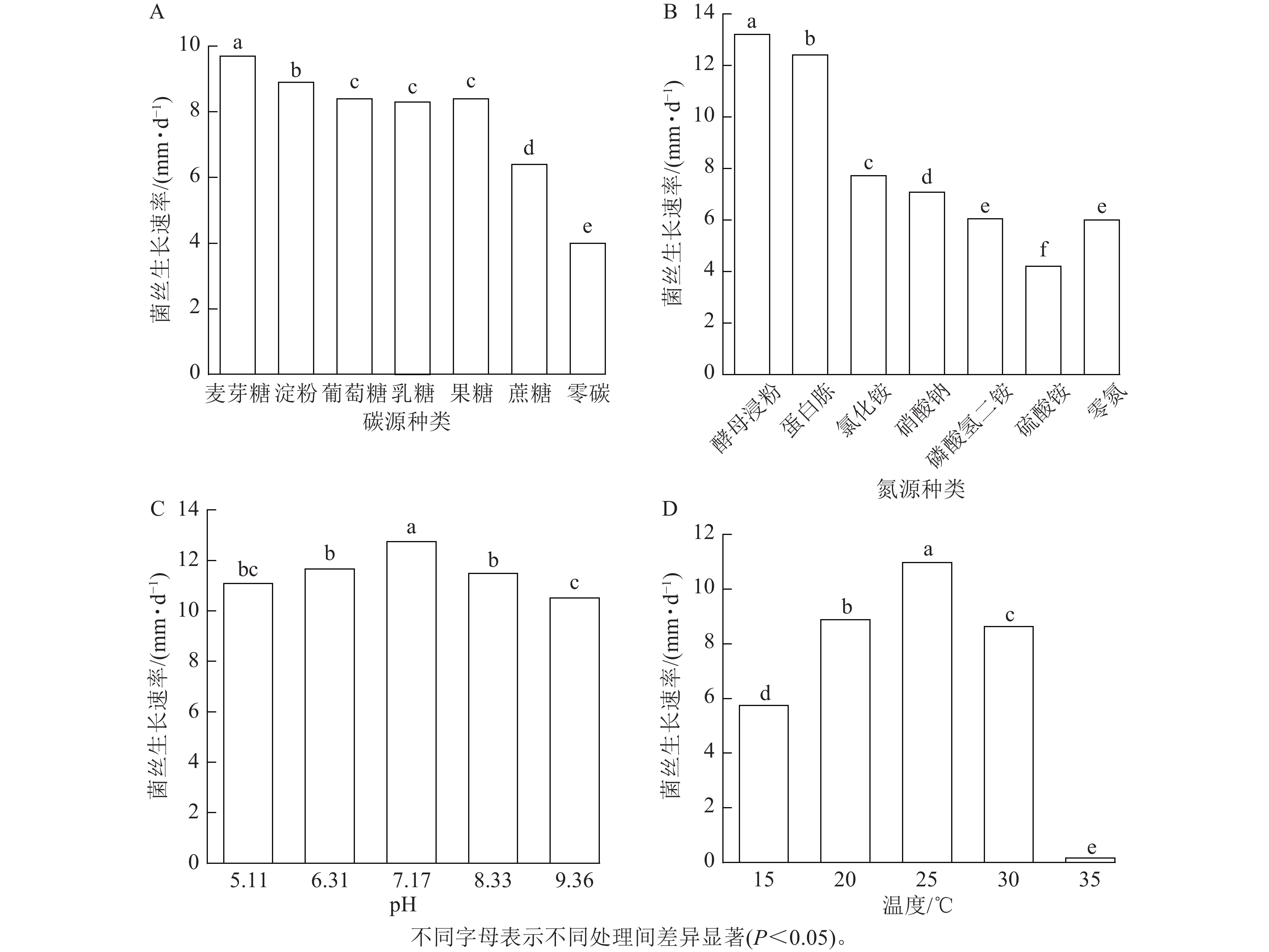
月季枯枝病病原物鉴定、生物学特性与防治药剂筛选
武崇高, 朱桐, 崔云龙, 刘雪峰, 刘晴, 刁桂萍
2026, 43(2): 361-369. doi: 10.11833/j.issn.2095-0756.20250213
[摘要](2956) [HTML] (1141) [PDF](144)
摘要:
  目的  明确辽宁省宽甸县月季Rosa chinensis枯枝病的病原菌种类,研究病原菌的生物学特性与防治药剂,为此病害的有效防控提供参考依据。  方法  利用组织分离法分离纯化病原菌,依据柯赫氏法则对该病害开展致病性试验,通过形态学观察与多基因系统发育学分析鉴定病原菌;采用菌丝生长速率法测定不同碳氮源培养基、pH和温度条件对病原菌生长的影响以及5种杀菌剂对病原菌菌丝生长的抑制作用。  结果  在烧伤接种处理下,分离获得的纯菌株R1007使月季枝条发病,并从发病枝条中再次分离到该菌株。R1007形态学特征与榆生丛赤壳Nectria ulmicola基本一致,Blast结果与系统发育分析中R1007与榆生丛赤壳的模式菌株CFCC52117表现出极高的亲缘性;单因素试验表明:菌株R1007在碳源为麦芽糖、氮源为酵母浸粉、pH为7.17和温度为25 ℃时菌丝生长速率最快;供试药剂对病原菌均有不同程度的抑制作用,其中多菌灵对病原菌的菌丝生长抑制效果最好,其抑制中浓度(EC50)为0.338 8 mg·L−1  结论  引起月季枯枝病的病原菌为榆生丛赤壳,该病原菌最适碳氮源分别为麦芽糖和酵母浸粉,最佳生长pH为7.17,温度为25 ℃,可用多菌灵作为防治月季枯枝病的潜在药剂。图5表2参28
黄土区典型林地土壤养分-酶活性-微生物多样性差异分析
黎志鹏, 毕华兴, 管凝, 黄浩博, 曾星, 康赛, 周韬, 邱婷
2026, 43(2): 370-380. doi: 10.11833/j.issn.2095-0756.20250224
[摘要](244) [HTML] (84) [PDF](61)
摘要:
  目的  探究不同林分类型对土壤养分、酶活性及微生物多样性的影响,可为土壤功能提升以及从林地改良土壤的视角为研究区适宜树种选择提供理论依据。  方法  选择晋西黄土区5种典型林分(刺槐Robinia pseudoacacia纯林、油松Pinus tabulaeformis纯林、侧柏Platycladus orientalis纯林、油松-刺槐混交林、辽东栎Quercus wutaishanica-山杨Populus davidiana混交林,并以荒草地为对照,测定不同林地的土壤养分、酶活性及微生物多样性特征,结合高通量测序法、单因素分析法、冗余分析等分析土壤养分、土壤酶活性及微生物多样性的相互关系。  结果  ①林地土壤养分均优于荒草地,油松-刺槐混交林和辽东栎-山杨混交林的土壤全氮(TN)和有机质(SOM)质量分数均显著高于其他纯林(P<0.05)。②辽东栎-山杨混交林的土壤β-葡萄糖苷酶(BG)、亮氨酸氨基肽酶(LAP)、碱性磷酸酶(ALP)活性最高,油松纯林的土壤β-N-乙酰氨基葡萄糖苷酶(NAG)活性最高。③土壤细菌的ACE、Chao1和Shannon等α多样性指数普遍较高,但混交林营造显著增强了真菌群落的物种丰富度(P<0.05)。④土壤酶活性与土壤TN、ANC、NNC、AP和SOM质量分数相关显著(P<0.05),土壤微生物多样性与土壤TN、NNC质量分数密切相关(P<0.05)。土壤NAG、ANC是微生物群落的关键驱动因子。  结论  混交林相较于纯林及荒草地,在土壤养分积累、酶活性增强以及真菌多样性提升等方面表现出显著的正向效应。因此,基于林分改良土壤的视角,建议黄土区植被恢复和重建中优先考虑落叶阔叶或针叶阔叶树种为核心的混交林配置方案。图4表6参32
三江源退化高寒草甸土壤代谢产物特征及其与土壤环境因子的相关性
杨晓燕, 金辉, 戴璐, 黄先成, 陈吉祥, 秦波
2026, 43(2): 381-394. doi: 10.11833/j.issn.2095-0756.20250227
[摘要](276) [HTML] (155) [PDF](80)
摘要:
  目的  探究三江源高寒草甸土壤代谢产物在退化影响下的变化特征、主要代谢通路的变化规律及其与土壤环境因子的相关性,为高寒草甸退化因子的解析和高寒草甸土壤环境对退化响应机制的研究提供科学依据。  方法  以青海省果洛藏族自治州玛沁县三江源国家公园高寒草甸为研究对象,通过非靶向代谢组学液相色谱-质谱联用技术( LC-MS/MS)研究未退化、轻度退化、中度退化以及重度退化高寒草甸土壤代谢产物特征,并分析高表达差异代谢物与土壤环境因子相关性。  结果  不同退化程度高寒草甸土壤中共鉴定出8 451个土壤代谢物,其中脂质和类脂分子类最为丰富(26.81%)。退化显著改变了土壤样本代谢物种类和含量,重度退化与未退化、轻度退化、中度退化比较组间的显著差异代谢物数量较其他比较组多。筛选出的不同退化高寒草甸土壤表达量TOP20标志性代谢物主要包括:羧酸及其衍生物、脂肪酰基、有机氮化合物、有机氧化合物、戊二烯醇脂质和鞘脂类化合物。亚油酸代谢、ABC 转运途径、磷脂酶D信号通路和鞘脂信号通路是不同退化高寒草甸土壤差异代谢物主要富集的代谢通路。冗余分析表明:不同退化程度高寒草甸土壤代谢物与土壤理化性质和酶活性之间存在显著相关性,如土壤有机质、含水量、全氮、全磷、pH和土壤脲酶与土壤代谢物显著相关。  结论  不同退化程度高寒草甸土壤标志性代谢物的种类、差异表达代谢物及主要代谢通路存在较大差异,且土壤代谢物与土壤有机质、含水量、全氮、全磷、pH和土壤脲酶等非生物环境因子呈显著相关性。图6表2参55
北京奥林匹克森林公园不同植被类型土壤呼吸时空动态特征
谢修强, 刘鹏, 赵洪贤, 李钦渊, 骆科梅, 查天山
2026, 43(2): 395-404. doi: 10.11833/j.issn.2095-0756.20250206
[摘要](572) [HTML] (295) [PDF](138)
摘要:
  目的  探究城市森林不同植被类型土壤呼吸的时空动态特征及其影响因素,以期为区域碳预估提供理论参考。  方法  以北京奥林匹克森林公园为研究对象,采用便携式土壤呼吸测量仪,于2023年4—10月每月测定该公园26个样地(乔木群落与乔灌混交群落各13个)的土壤呼吸、土壤温度和土壤含水量,并结合高分辨率归一化植被指数,对土壤呼吸的季节与空间变化及其影响因素进行拟合分析。  结果  ①土壤呼吸和土壤温度的季节动态一致,均呈现先上升后下降单峰变化。乔木群落土壤呼吸均值为4.83 μmol·m−2·s−1,大于乔灌混交群落的4.42 μmol·m−2·s−1。②土壤温度可以分别解释乔木群落和乔灌混交群落土壤呼吸季节变化的90.0%和73.0%, 土壤含水量可以分别解释28.0%和37.0%,综合考虑温度−水分的双因子模型可以分别解释93.0%和82.0%。③乔灌混交群落土壤呼吸的空间变异系数与土壤含水量变化趋势相似,两者极显著正相关[决定系数(R2)为0.88,P<0.01],乔木群落土壤呼吸空间变化与土壤温度之间呈现极显著的非线性关系(R2=0.65,P<0.01)。④土壤呼吸对土壤温度的响应存在时空差异,时间上为近似直线增加,空间上为非线性响应,而土壤呼吸虽然时间和空间上都随土壤含水量的增加而增加,但其增加速率存在差异。  结论  城市森林土壤呼吸对环境因素的响应存在时空差异:土壤温度是主导城市森林土壤呼吸季节变化的主要因素,城市森林土壤呼吸空间变化主要影响因素在不同植被类型间存在差异。图6表2参38
不同火烈度对油松林林下植被物种多样性和土壤理化性质的影响
龚俊伟, 陈思帆, 冯浩育, 索奥丽, 童大龙, 陈锋, 刘晓东
2026, 43(2): 405-415. doi: 10.11833/j.issn.2095-0756.20250291
[摘要](692) [HTML] (267) [PDF](144)
摘要:
  目的  探讨不同火烈度对林下植被物种多样性和土壤理化性质的影响,对火烧迹地森林生态系统恢复及可持续经营具有重要意义。  方法  以山西太岳山油松Pinus tabuliformis林火烧后4 a的迹地为研究对象,采用野外调查和室内分析相结合的方法,研究不同火烈度(低烈度火烧、中烈度火烧、高烈度火烧和未过火)样地林下植被物种多样性和土壤理化性质的差异性和变化趋势,以及火后物种多样性对土壤理化性质的短期响应。  结果  ①共记录维管束植物50种,分属于20科43属,草本层低烈度火烧样地和灌木层中烈度火烧样地物种数高于未过火样地。②灌木层中,Shannon-Wiener指数、Simpson指数、Margalef指数从大到小依次均为中烈度火烧样地、高烈度火烧样地、未过火样地、低烈度火烧样地,Pielou指数从大到小依次为高烈度火烧样地、中烈度火烧样地、未过火样地、低烈度火烧样地。草本层中,Shannon-Wiener指数和Margalef指数在低烈度火烧样地较未过火样地分别显著增加了21.38%和47.55% (P<0.05),Simpson指数和Pielou指数在高烈度火烧样地较未过火样地分别显著增加了20.00%和19.40% (P<0.05)。③不同火烈度极显著影响土壤理化性质(P<0.01),土壤含水率、总孔隙度随着火烈度升高而下降,全磷、全钾质量分数随着火烈度升高呈先下降再上升的变化趋势,在中烈度火烧样地最低。土壤总孔隙度以及土壤有机碳、全氮、速效钾质量分数在不同火烈度样地均随土层的加深而降低。④冗余分析结果表明:0~10 cm土层中的土壤含水率、毛管孔隙度、全钾质量分数和10~20 cm土层中的速效磷质量分数、土壤总孔隙度、速效钾质量分数是显著影响灌木层、草本层物种多样性的土壤因子。  结论  低烈度火烧、中烈度火烧对油松林群落的植被更新具有一定促进作用,土壤含水率和速效磷等理化性质是驱动火后物种多样性分异的关键因子。图2表4参48
浙江省岱山岛典型森林群落树种组成与结构
周心悦, 俞狄虎, 黄劲, 高浩杰, 王震明, 欧候辉, 余树全
2026, 43(2): 416-425. doi: 10.11833/j.issn.2095-0756.20250196
[摘要](567) [HTML] (195) [PDF](137)
摘要:
  目的  探索浙江省岱山岛森林群落树种的组成和结构,为海岛森林群落的修复提供树种组合模式参考。  方法  利用样方调查法,调查样地(100 m×100 m)内胸径≥1 cm的木本植物,分析其树种组成、区系成分、径级结构、物种多样性、树种组合等特征。  结果  岱山岛样地内共有木本植物8 767株,隶属18科28属29种,平均树高为4.11 m,平均胸径为4.35 cm。麻栎Quercus acutissima、樟树Cinnamomum camphora和天仙果Ficus erecta等为该群落的主要优势树种。在科水平上,群落树种的世界分布占27.78%,热带成分占50.00%,温带成分占22.22%;在属水平上,热带成分占64.29%,温带成分占28.57%,中国特有占7.14%。样地树种径级结构呈倒“J”型分布,小径级和较小径级的植物数量占比达91.80%。群落Shannon-Wiener多样性指数、Pielou均匀度指数、Simpson多样性指数和Margalef丰富度指数分别为1.28、0.38、0.50、3.08。群落有樟树-麻栎、水杉Metasequoia glyptostroboides-麻栎、麻栎-天仙果等具有较好恢复力的树种组合。  结论  岱山岛森林群落以麻栎、樟树、天仙果、细齿叶柃Eurya nitida、枸骨Ilex cornuta等为优势树种,径级结构呈现倒“J”型分布。该群落植物区系以热带成分占主导,群落整体上树种分布不均匀,形成了不同的树种组合。图4表4参30
基于GTWR-GBRT模型的“三江并流”区域森林碳储量估算
周贞艳, 刘畅, 宋谢忱
2026, 43(2): 426-434. doi: 10.11833/j.issn.2095-0756.20250346
[摘要](651) [HTML] (258) [PDF](147)
摘要:
  目的  森林碳储量在全球气候系统中扮演着重要角色,对实现碳达峰、碳中和目标具有重要的参考价值。模型方法是估测森林碳储量的有效手段,而提高模型预估精度是当前需要重点解决的问题。  方法  结合国家森林资源调查数据和Landsat 7、8遥感影像,分别利用时空地理加权回归(GTWR)、随机森林(RF)、梯度提升回归树(GBRT)以及组合模型GTWR-RF、GTWR-GBRT进行建模,选出最优模型估测2012—2021年“三江并流”区域的森林碳储量。  结果  ①GTWR模型同时考虑了空间和时间维度,GBRT在解释空间异质性方面存在明显局限,单一模型应用时解释力仍有限,而两阶段顺序混合模型组合的表现优于单一模型,在解决空间异质性及碳储量与变量之间的非线性问题上效果更佳;②GTWR-GBRT模型拟合效果最佳,决定系数(R2)达0.98,预测精度(A)为0.90,相对均方根误差(rRMSE)为5.91,优于其他4个模型,表明在估算森林碳储量时,同时考虑时空异质性和非线性的组合是必要的;③研究区森林碳储量呈空间正相关性,利用GTWR-GBRT模型估测2012—2021年森林碳储量,森林碳储量总体分布并不均匀,主要分布在高海拔地区,呈现西高东低、局部偏高的分布格局。  结论  相较于各类单一模型及其他组合模型,GTWR-GBRT组合模型表现出最优的拟合与预测性能,说明融合时空特征与非线性的两阶段混合模型能更精准地估算森林碳储量。图3表6参30
文献综述
机械化再生稻种植模式下机收减损与高产农艺研究综述
铁欠芳, 石晓燕, 薛向磊, 俞国红
2026, 43(2): 435-444. doi: 10.11833/j.issn.2095-0756.20250549
[摘要](272) [HTML] (121) [PDF](94)
摘要:
再生稻种植具有“一种两收”、轻简高效、环境友好等显著优势,对保障粮食安全具有重要意义。头季机收的碾压损伤是制约再生季产量的核心问题。本文系统综述了机械化再生稻种植模式下机收减损与高产农艺的研究进展,重点聚焦于两方面问题。一是聚焦机收减损技术与装备创新,包括再生稻专用收割机底盘(轮式与履带式)的优化、轻量化设计、稻茬扶正装置、智能化路径规划及“宽窄行”农艺配套技术,通过农机改良与作业优化,最大限度降低碾压伤害;二是聚焦高产稳产农艺措施,包括强再生力耐碾压品种的筛选、基于光热资源的“早播早栽”与适时收获策略以及依据留桩高度的水肥协同动态调控技术,通过农艺品种优势与高产措施,构建高产稳产体系。总体而言,在机器换人的背景下,实现再生稻“两季双高产”的根本在于推动“品种-农艺-农机”的深度融合与系统优化,构建贯穿产前、产中、产后的全程一体化技术体系,从而有效缓解机收损失,充分释放再生稻的产量潜力与综合效益,为促进水稻生产可持续发展提供理论依据与技术支撑。参74
黄精活性成分提取工艺研究进展
钱凡, 沈阳辉, 史颖, 刘京晶
2026, 43(2): 445-456. doi: 10.11833/j.issn.2095-0756.20250173
[摘要](790) [HTML] (259) [PDF](94)
摘要:
黄精是传统的食药同源物质,富含多糖、皂苷、黄酮等多种营养与功效成分,具有增强免疫功能、抗疲劳、调节血糖、调节肠道菌群等功效。随着大健康产品需求的增长,黄精提取物常应用于中成药和保健食品的配伍。讨论了黄精活性成分提取工艺,并从生产实际和科学研究2个方面进行了小结与展望。总结提取方法发现:目前对于黄精中主要活性成分的提取,尤其是工业化生产过程中,大多仍采用传统的回流提取法,虽成本低但损耗多、效率低。重点介绍了超声波协同酶提取等新方法在多糖、皂苷类成分提取中的优势,新方法的得率可达传统方法的1.5~3.3倍。指出黄精中特有的小极性高异黄酮现有提取方法的不足。建议根据目标物的性质组合或开发出针对性的提取技术,改良的提取工艺可提高黄精活性成分的得率。参96