Current Issue

Cover
Cover
2026, 43(2)
[Abstract](154) [HTML] (50) [PDF](154)
Abstract:
2026, 43(2): 1-2.
[Abstract](147) [HTML] (66) [PDF](159)
Abstract:
Isolation, identification and biological characteristics of major pathogenic fungi in stiff fruits of Torreya grandis
LOU Kexun, LOU Jun, LAI Sisi, YE Haojie, YU Weiwu, FANG Nanshou, HU Yuanyuan
2026, 43(2): 229-241. doi: 10.11833/j.issn.2095-0756.20250575
[Abstract](305) [HTML] (93) [PDF](93)
Abstract:
  Objective  In April each year, 89% of the fruits on the bearing branches of Torreya grandis ‘Merrillii’ are stiff fruits characterized by unruptured arils and internal nucellus browning and shrinking. The aim of this study is to investigate the occurrence mechanism of stiff fruits, so as to provide a theoretical basis for developing effective prevention and control measures.   Method  The number of days after seed protrusion (D) was used as an indicator to record the developmental progression of T. grandis ‘Merrillii’ fruits, with the day of protrusion recorded as D=0. Nucellar tissue samples were collected at regular intervals. The tissue separation method was employed to isolate and purify pathogenic bacteria from the nucellar tissues at various developmental stages. By combining morphological analysis, multi-gene joint phylogenetic analysis and Koch’s postulates verification, the dominant pathogenic bacteria species of stiff fruits were identified and their biological characteristics were analyzed.   Result  (1) When D was within the range of −207 to 21 days, Cladosporium exhibited the highest isolation rate and frequency among the pathogens isolated from the nucellar tissues. Based on colony morphology, these Cladosporium isolates were classified into 5 types. Vaccination with representative strains and mixed strains of these 5 species of bacteria consistently induced browning of the T. grandis ‘Merrillii’ nucellus. The browning phenotype after inoculation with the mixed spore suspension was similar to that of stiff fruits. (2) Through morphological identification and multi-gene sequence analysis, the 5 major pathogenic strains of Cladosporium were identified as C. funiculosum TGZX1, C. oxysporum TGZX2, C. guizhouense TGZX3, C. tenuissimum TGZX4, and C. scabrellum TGZX5. (3) The optimal growth temperature for the 5 species of Cladosporium was 20−25 ℃. The optimal carbon sources for TGZX1-1, TGZX2-1, TGZX3-1, TGZX4-1, and TGZX5-1 were soluble starch, mannitol, glucose, maltose, and maltose, respectively. The optimal nitrogen source for all strains was tryptone. Moreover, these strains grew well under dark conditions.   Conclusion  The stiff fruits of T. grandis ‘Merrillii’ are caused by the combined infection of 5 species of Cladosporium, which is closely linked to the susceptibility of the female cone to Cladosporium infection during pollination. Therefore, the key to effectively preventing the formation of stiff fruits is to take control measures during the female flowering stage of T. grandis ‘Merrillii’. [Ch, 6 fig. 1 tab. 34 ref.]
Study on the physiological abscission patterns and control techniques in Carya cathayensis
LI Jun, ZHANG Jin, AN Yi, JIANG Cheng, HE Zhehua, WU Yongqiang, LU Mengzhu
2026, 43(2): 242-249. doi: 10.11833/j.issn.2095-0756.20250284
[Abstract](301) [HTML] (57) [PDF](85)
Abstract:
  Objective   Carya cathayensis is important economic tree species in China, suffers from severe fruit abscission, which significantly affects yield and economic benefits. This study aims to reveal the fruit abscission characteristics of C. cathayensis and explore the regulatory effects of 2 reactive oxygen species (ROS) scavengers (potassium iodide and propyl gallate) on fruit abscission.   Method  C. cathayensis from Chun’an and Lin’an in Zhejiang were used as research subjects. Solutions of potassium iodide (KI) and propyl gallate (PG) at different concentrations were sprayed in 2023 and 2024, water spray served as the control, and the fruit abscission rate was calculated, KI concentrations were 3.0, 5.0, and 10.0 mmol·L−1; PG concentrations were 0.1, 0.3, and 0.5 mmol·L−1, all confidence intervals for mean differences were calculated at the 95% confidence level. The ROS content in fruit tissues was detected by 3,3'-diaminobenzidine (DAB) and nitroblue tetrazolium (NBT) staining methods to analyze the dynamic changes of ROS during fruit abscission.   Result  A large amount of physiological fruit abscission occurred in C. cathayensis from April to June, with natural abscission rates reaching 89.55%±2.43% in 2023 and 80.09%±4.05% in 2024. There were 2 types of fruit abscission: the fruit directly separated from the branch or the fruit separated from the branch together with the pedicel. After treatment with ROS scavengers, the fruit abscission rates were 57.24%±8.60% (2023) and 61.22%±2.75% (2024) for the 3 mmol·L−1 KI treatment group, and 51.85%±3.15% (2023) and 45.77%±2.17% (2024) for the 0.5 mmol·L−1 PG treatment group. Histological analysis showed that the ROS levels in the abscission zone significantly increased before abscission, while KI and PG treatments effectively reduced ROS accumulation in fruit tissues.   Conclusion  Fruit abscission in C. cathayensis occurring predominantly from April to June. ROS play a key role in the formation of the abscission layer, and 3 mmol·L−1 KI and 0.5 mmol·L−1 PG significantly reduced the fruit abscission rate by scavenging ROS. [Ch, 4 fig. 1 tab. 27 ref.]
Identification of FW2.2 family gene in Citrus sinensis and expression analysis during fruit cell division period
XU Yuanyuan, GUO Lingxia, FAN Minghui, YIN Zi, HAN Jian, LI Feifei, ZHOU Tie, CHEN Peng
2026, 43(2): 250-259. doi: 10.11833/j.issn.2095-0756.20250431
[Abstract](423) [HTML] (203) [PDF](113)
Abstract:
  Objective  This study aims to identify the members of the FW2.2 family in Citrus sinensis and analyze their structural characteristics and expression patterns during the fruit cell division period, so as to provide a theoretical basis for exploring the function of the FW2.2 gene family in C. sinensis fruit development.   Method  Based on the whole genome data of C. sinensis, FW2.2 family members were screened and identified. Bioinformatics methods were employed to predict and analyze their gene structure, sequence characteristics, chromosome localization, and cis-acting elements. A phylogenetic tree was constructed with FW2.2 sequences from multiple species. The expression patterns of FW2.2 family members during the fruit cell division period were analyzed by real-time fluorescence quantitative polymerase chain reaction (RT-qPCR) technology.   Result  A total of 16 FW2.2 genes were identified in C. sinensis, distributed on 6 chromosomes, with a length of 100 to 563 amino acids, containing multiple conserved motifs, and mainly located in the cell membrane. Evolutionary analysis revealed that FW2.2 family members from C. sinensis, Solanum lycopersicum, Pyrus bretschneideri, Prunus persica, Zea mays and Oryza sativa were divided into 6 subgroups. Cis-acting elements analysis showed that the promoters of FW2.2 family genes contained elements related to the hormone, growth and development, and abiotic stress. Gene expression analysis showed that there were differences in the expression trends of FW2.2 family genes during the fruit cell division period. The expression levels of CsFWL5, CsFWL6 and CsFWL12 decreased significantly during the fruit cell division period, and were negatively correlated with the increase in cell layers (P<0.01).   Conclusion  CsFWLs members exhibit a certain degree of conservation during evolution, and share sequence similarities with FWLs genes in crops such as Pyrus bretschneideri, Prunus persica, and S. lycopersicum. CsFWLs show different gene functions. CsFWL5, CsFWL6 and CsFWL12 may be involved in regulating fruit cell division. [Ch, 6 fig. 3 tab. 33 ref.]
Analysis and comprehensive evaluation of phenotypic variations in seed and fruit traits of different cultivars of Lycium barbarum
WANG Jiadong, ZHANG Xuan, YANG Gai’er, DUAN Linyuan, DAI Guoli, ZHANG Bo, LI Xiang
2026, 43(2): 260-271. doi: 10.11833/j.issn.2095-0756.20250225
[Abstract](530) [HTML] (123) [PDF](126)
Abstract:
  Objective  The aim of this study is to determine and analyze the traits and study the variation pattern of seed and fruit traits of different cultivars of Lycium barbarum so as to provide theoretical basis for cultivating good varieties and utilizing germplasm resources.   Method  14 L. barbarum cultivars (10 red fruits and 4 yellow fruits) collected from a germplasm repository were selected as research materials. Their seed and fruit traits were measured, followed by correlation analysis, coefficient of variation (CV) analysis, cluster analysis, principal component analysis (PCA), and comprehensive evaluation.   Result  (1) Significant positive correlation between seed and fruit size and length of fruit stalk of L. barbarum (P<0.05). (2) The CV of phenotypic traits among cultivars ranged from 0.17% to 59.08%, with an average CV of 19.16%, indicating high phenotypic diversity. Significant differences were observed both within and between varieties (P<0.05). Fruit traits exhibited greater variability (CV=9.69%) compared to seed traits (CV=17.17%). (3) ‘Ningnongqi 20’ was clustered into one class with red fruit L. barbarum under different dimensional clustering, and its variation pattern of seed and fruit traits was more similar to that of red fruit L. barbarum. ‘Ningnongqi 4’ formed an independent cluster (Group Ⅰ) in all analyses, demonstrating unique trait variations. (4) PCA identified 4 principal components with a cumulative contribution rate of 74.478%, capturing most genetic information. Key traits influencing component loadings included adhesiveness, gumminess, chewiness, fruit length/width, fruit shape index, seed length/width, and thousand-seed weight. (5) Comprehensive evaluation ranked ‘Ningnongqi 4’ first, followed by ‘Ningqi 3’ ‘Ningnongqi 20’, and ‘Ningqi 9’.   Conclusion  The 14 L. barbarum cultivars exhibited substantial phenotypic diversity in seed and fruit traits, providing valuable breeding materials. ‘Ningnongqi 4’ with the highest comprehensive score, showed superior textural properties, its high hardness may facilitate mechanical harvesting, while low elasticity necessitates adjusted processing parameters. [Ch, 3 fig. 7 tab. 40 ref.]
Fruit quality of 5 Prunus simonii cultivars in Aksu area
XU Hui, WU Cuiyun, FANG Zhigang, JI Yinzhong, CAO Yilin, WANG Ming, SUN Yali
2026, 43(2): 272-282. doi: 10.11833/j.issn.2095-0756.20250268
[Abstract](435) [HTML] (199) [PDF](106)
Abstract:
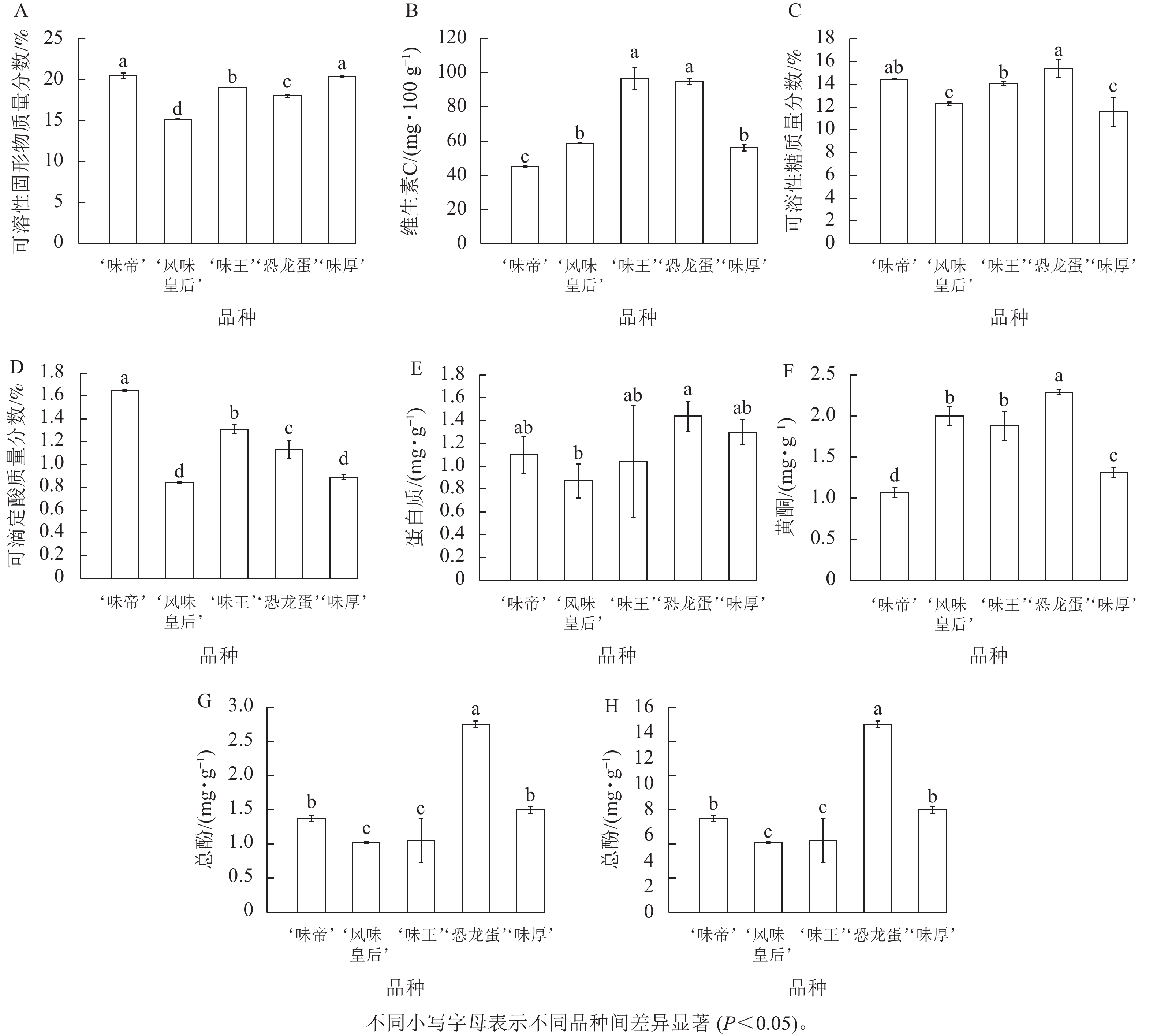
  Objective  The research aimed to explore the differences of fruit morphological characteristics, fruit appearance, fruit texture and fruit internal quality of five Prunus simonii cultivars in Aksu area, and put forward the excellent P. simonii cultivars suitable for Aksu area.   Method  In 2024, a field experiment was conducted in a P. simonii orchard in Jiamu Town, Wansu County, Aksu area, Xinjiang. Five 6-year-old cultivars were used to determine and analyze the differences in fruit quality, including fruit appearance, fruit texture, soluble sugar, soluble solids, titratable acid, vitamin C, and sugar-acid components.   Result  In terms of appearance, the average single fruit weight of ‘Konglongdan’ and ‘Weihou’ is 100−120 g, and the other three cultivars are 50−80 g; the L* value and a* value of ‘Weiwang’ were 68.23 and 16.68, respectively, and the fruit color was bright. In terms of nutrition, ‘Weiwang’ had the highest vitamin C content of 0.967 8 mg·g−1; the soluble sugar content of ‘Konglongdan’ was the highest, which was 15.37%, and the titratable acid content of ‘Weidi’ was the highest, which was 1.65%. The soluble solids content of ‘Weidi’ was the highest, which was 20.47%. The flavonoids, total phenols and soluble protein of ‘Konglongdan’ were the highest, which were 2.29, 2.75 and 1.44 mg·g−1, respectively. In terms of sugar and acid components, the sugar component is mainly sorbitol accumulation, and the acid component is mainly citric acid accumulation.The fructose, glucose and sorbitol of ‘Fengweihuanghou’ were significantly higher than those of other cultivars (P<0.05), and the sucrose of ‘Weihou’ was 32.83 mg·g−1, which was significantly higher than that of the other four cultivars (P<0.05). The citric acid and ascorbic acid of ‘Weidi’ were significantly higher than those of the other four cultivars (P<0.05), with the contents of 10.03 and 0.34 mg·g−1, respectively. In the acid category, only ‘Weidi’ contains succinic acid, but ‘Fengweihuanghou’ does not contain fumaric acid. The fruit quality was comprehensively evaluated by principal component analysis, and the scores from high to low were ‘Konglongdan’ ‘Weiwang’ ‘Weihou’ ‘Fengweihuanghou’ and ‘Weidi’.   Conclusion  The sugar and acid of ‘Weidi’ are balanced, and the taste is relatively soft, but the fruit is relatively small, so the ranking is relatively backward. From the comprehensive point of view of fruit quality: ‘Konglongdan’ not only has large fruit, but also has high and relatively balanced nutrients, which is more suitable for large-scale planting in Aksu area. [Ch, 5 fig. 6 tab. 37 ref.]
Tobacco seed vigor classification based on hyperspectral imaging and ensemble models
PAN Wei, DENG Shuwen, YANG Xiaodong, QIAO Yu, MEI Yuan, ZHANG Limeng, GUAN Yajing
2026, 43(2): 283-292. doi: 10.11833/j.issn.2095-0756.20250418
[Abstract](392) [HTML] (177) [PDF](97)
Abstract:
  Objective  To develop a rapid, non-destructive vigor classification method for micro-sized tobacco seeds based on hyperspectral imaging and an ensemble model.   Method  Seeds of 3 cultivars (‘MS-Yunyan 87’ ‘Honghua Dajinyuan’ ‘Yunyan 99’) were subjected to multiple controlled-deterioration gradients, and population-level hyperspectral data were acquired across treatments. A seed vigor index (SVI) was constructed by weighting germination potential, primary root length, and seedling height, and a threshold was applied to assign high/low vigor labels. All spectra were denoised with Savitzky-Golay (SG) smoothing; discriminative wavelengths were selected via uninformative variable elimination (UVE); and a CNN-LightGBM classifier was trained on the compact features. External validation was performed using an independent cultivar ‘MS121’.   Result  SVI decreased markedly with longer deterioration; seeds treated for 48, 72, and 96 h were almost entirely classified as low vigor, indicating that the predefined threshold provided a clear decision boundary. Among feature–model combinations, UVE-derived compact features coupled with CNN-LightGBM performed best, achieving 88.90% test accuracy, 97.40% recall, and an F1-score of 91.40%. On external validation with ‘MS121’, overall accuracy reached 85.58%, demonstrating robust cross-batch and cross-cultivar generalization.   Conclusion  Integrating SG preprocessing and UVE-based wavelength selection with a CNN-LightGBM classifier enables efficient, accurate, and non-destructive vigor classification for micro-sized tobacco seeds. The pipeline shows promising transferability to other small-seeded crops and offers a new avenue for quality monitoring in such crops. [Ch, 6 fig. 2 tab. 25 ref.]
Identification of flavonoid constituents and inhibitory effects on α-amylase and α-glucosidase in the leaves of Neosinocalamus affinis
FU Zhengjian, DONG Shihao, XU Ningmeng, WANG Shuguang, FAN Fangyu, GUO Lei
2026, 43(2): 293-302. doi: 10.11833/j.issn.2095-0756.20250261
[Abstract](503) [HTML] (268) [PDF](107)
Abstract:
  Objective  This study aimed to identify the flavonoid components in the leaves of Neosinocalamus affinis and to investigate their inhibitory effects on α-glucosidase and α-amylase, so as to provide a theoretical basis for the deep utilization and development of N. affinis leaf resources.   Method  Using N. affinis leaves as raw material, purified bamboo leaf flavonoids (PBLF) were obtained by macroporous resin purification. The chemical components of PBLF were identified by ultra-performance liquid chromatography-mass spectrometry (UPLC-MS). The inhibitory effects of PBLF on α-amylase and α-glucosidase activities, as well as the hypoglycemic mechanism of PBLF, were investigated through in vitro experiments.   Result  18 flavonoid compounds were identified in the N. affinis leaf extract, including glycyrrhizinol, epimedium cyanidin Ⅱ, and baohuoside Ⅰ. Furthermore, the in vitro results demonstrated that PBLF significantly inhibited both α-amylase and α-glucosidase activities. At a concentration of 0.5 mg·mL−1, PBLF inhibited α-amylase by 79.71%±5.02% with a half-maximal inhibitory concentration (IC50) of (0.057±0.005) mg·mL−1, and inhibited α-glucosidase by 74.17%±6.17% with an IC50 of (0.071±0.004) mg·mL−1, and both types of enzyme inhibition showed competitive-noncompetitive mixed inhibition.   Conclusion  Enzyme inhibition kinetic studies indicated that the flavonoids present in N. affinis leaves likely function as active hypoglycemic components, potentially through a non-competitive inhibition mechanism. [Ch, 3 fig. 4 tab. 34 ref.]
Overexpression of Medicago sativa ChOMT gene in constructing homoisoflavone-enriched tomatoes
ZHANG Yang, ZHU Yan, HAN Zhigang, YANG Meisen, SI Jinping, CHEN Donghong
2026, 43(2): 303-309. doi: 10.11833/j.issn.2095-0756.20250186
[Abstract](443) [HTML] (176) [PDF](135)
Abstract:
  Objective  This study aims to construct transgenic homoisoflavones tomato (Solanum lycopersicum) plants based on the homoisoflavones synthase gene ChOMT from alfalfa (Medicago sativa), thereby achieving nutritional fortification of tomatoes.   Method  ChOMT gene was introduced into tomatoes using agrobacterium-mediated transformation. Transgenic identification was carried out through PCR and fluorescence detection. Furthermore, plant-wide targeted metabolomics technology and multivariate statistical analysis methods were employed for precise quantitative analysis of homoisoflavones content.   Result  Through PCR and fluorescence detection, positive transgenic plants of ChOMT were obtained. Compared with the wild type, the content of homoisoflavonoids significantly increased. Among them, the relative content of (3RS)-5,7-dihydroxy-3-(2-hydroxy-4-methoxybenzyl)-chroman-4-one (HIF1) in the leaves of transgenic tomatoes was 57019, which was 260 times higher than the relative content of 220 in the leaves of the wild type. The relative content of 5,7-dihydroxy-3-(4-hydroxybenzyl)-chroman-4-one (HIF2) in the fruits of transgenic tomatoes was 15 849 985, which was over 4 000 times higher than the relative content of 3849 in the wild type.  Conclusion  ChOMT transgenic tomatoes are obtained, which not only provides a theoretical basis for analyzing the catalytic function of ChOMT in plants, but also lays an important foundation of germplasm resources for breeding genetically improved tomato varieties with high homoisoflavonoid content. [Ch, 6 fig. 28 ref.]
Candidate genes for early heading date in chromosome arm substitution line CASL3AL
DONG Jianhao, CHEN Liangpeng, ZHAO Yanhao, XIANG Qiongyao, HU Xin
2026, 43(2): 310-319. doi: 10.11833/j.issn.2095-0756.20250260
[Abstract](237) [HTML] (87) [PDF](90)
Abstract:
  Objective  Heading date of Triticum aestivum is a key agronomic trait determining yield and quality. T. aestivum ‘Chinese Spring’ (CS)-T. turgidum var. dicoccoides chromosome arm substitution line CASL3AL exhibits early heading under multi-environment cultivation. This study investigates the regulatory genes during critical stages of young spike development through transcriptome analysis.   Method  This study utilized recombinant inbred lines (RILs) derived from the cross between the wild emmer wheat chromosome arm substitution line CASL3AL and CS as materials, screening stable early-maturing lines (1017-7-167-1 and 1017-10-311-15-5) and the late-maturing parent CS. Main stem leaves at the single ridge stage (W1.5) and double ridge stage (W2.5) were collected for transcriptome sequencing (RNA-Seq).   Result  The homozygous single nucleotide polymorphism (SNP) loci of 2 early-maturing lines were predominantly enriched in chromosome 3A. Differential expression analysis revealed: 4 172 differentially expressed genes (DEGs) were identified at single ridge stage and 169 at double ridge stage in line 1017-7-167-1, while 1 065 and 172 DEGs were detected in line 1017-10-311-15-5 at corresponding stages. Gene ontology (GO) enrichment analysis indicated these DEGs were primarily involved in biological processes such as circadian rhythm and floral organ development. Based on SNP enrichment results and expression differences, 2 candidate genes (TraesCS3A02G432900 and TraesCS3A02G139300) were identified within the SNP-enriched region of chromosome 3A.   Conclusion  This study identified candidate genes from wild emmer wheat that promote early heading in common wheat, providing a theoretical foundation for wheat growth period improvement. [Ch, 9 fig. 1 tab. 32 ref.]
Genome-wide association study of growth traits in 322 maize germplasms
CHEN Yong, LUO Yao, SHEN Xiaobin, ZHU Kai, REN Zan, ZHAO Guangwu, HAN Qinghui, WANG Yang
2026, 43(2): 320-330. doi: 10.11833/j.issn.2095-0756.20250210
[Abstract](587) [HTML] (173) [PDF](119)
Abstract:
  Objective  Maize (Zea mays) growth period refers to the complete growth cycle from sowing to maturity, with key representative traits including tasseling stage, anthesis stage, and silking stage. Identifying key genes regulating maize growth period is of great significance for optimizing maize production and promoting industrial quality and efficiency improvement.   Method  In 2022 and 2023, phenotypic investigations of traits such as tasseling stage, anthesis stage, and silking stage were conducted on 322 maize germplasm resources at 2 locations (Dongyang and Haining, Zhejiang Province). Genome-wide association study (GWAS) was performed on the above traits combined with genotypic resequencing data.   Result  The frequency distribution of tasseling stage, anthesis stage, and silking stage traits showed a unimodal curve, consistent with a normal distribution. GWAS results revealed: for the tasseling stage, 61, 27, 281, and 57 SNP-associated loci were identified in the 4 experimental sites (Dongyang and Haining in 2022, Dongyang and Haining in 2023) across 322 maize germplasms, explaining phenotypic variation ranging from 7.26% to 10.68% and distributed on all 10 chromosomes. For the anthesis stage, 51, 26, 424, and 58 related loci were identified, explaining phenotypic variation from 7.25% to 11.80% and mainly distributed on chromosomes 1, 2, 3, 7, 8, 9, and 10. For the silking stage, 47, 277, 212, and 1 169 related loci were identified, explaining phenotypic variation from 7.25% to 41.26% and mainly distributed on chromosomes 1, 2, 3, 4, 7, 8, and 10. A total of 49, 53, and 24 overlapping SNP loci were detected for tasseling stage, anthesis stage, and silking stage among the 4 experimental sites, respectively. Through comprehensive analysis of SNP locus information, gene annotation, and gene tissue expression profiles, 6 key candidate genes for maize growth period were finally screened out.   Conclusion  Tasseling stage, anthesis stage, and silking stage traits showed a normal distribution, and a large number of environment-specific and overlapping SNP loci were identified. Ultimately, 6 key candidate genes for growth period were screened out, providing important genetic resources for the genetic improvement of maize growth period and the high-quality development of the industry. [ Ch, 8 fig. 3 tab. 44 ref.]
Structural characteristics and genetic relationship of chloroplast genomes of 3 Pistacia species
ZHOU Zelin, XIANG Changwu, ZHANG Shaojun, CHEN Rimei, HE Jiezu, YA Zhang, HUANG Yi, LAO Guangjie
2026, 43(2): 331-339. doi: 10.11833/j.issn.2095-0756.20250221
[Abstract](422) [HTML] (126) [PDF](119)
Abstract:
  Objective  In this study, the chloroplast genomes of 3 Pistacia species were compared to analyze their structural characteristics and genetic evolution.   Method  3 publicly available chloroplast genomes of Pistacia species from National Center for Biotechnology Information (NCBI) were selected as research materials, and their chloroplast genome structure, repeat sequence, nucleotide polymorphism and genetic relationship were analyzed by relevant bioinformatics methods.   Result  The chloroplast genomes of the 3 species were tetrad ring structure, and the numbers of protein-coding sequence (CDS), ribosomal RNA (rRNA), and transfer RNA (tRNA) were exactly the same among them; The simple repeat sequences were mainly A (34.35%) or T (39.69%) repeat units in mono-nucleotide, but no hexa-nucleotide. And the number of scattered repeat sequences were mainly palindromic repeats (105) and forward repeats (76), but no reverse repeats; There were different degrees of variation in the conserved non-coding sequences (CNS) of the large single copy (LSC) and small single copy (SSC) of the chloroplast genomes of three species, but there was no significant difference in the contraction or expansion of genes near the tetrad boundary; 5 highly variable sequences (matK, trnG-UCC~trnR-UCU, trnT-UGU~trnL-UAA, petD~rpoA, rpl22~rpl2) were identified in the LSC region and the boundary between LSC and inverted repeat b (IRb); Phylogenetic reconstruction based on complete chloroplast genomes demonstrated clear segregation between Pistacia and Rhus, and P. chinensis was closely related to P. weinmaniifolia, while P. vera and P. atlantica could be formed a distinct clade.   Conclusion  The chloroplast genome structure of the 3 Pistacia species was similar and relatively conservative, and the number of various genes was consistent; The 5 mutant sequences detected could be used as candidate molecular markers for Pistacia species; The genetic relationship between P. chinensis and P. weinmannifolia was similar, while P. vera was relatively distant from former 2 species. [Ch, 6 fig. 1 tab. 46 ref.]
Characteristics of the chloroplast genome and phylogenetic analysis of flowering Chinese cabbage
LIU Tingting, XU Li’ai, HU Ziwei, XIONG Xingpeng, AN Xia, CAO Jiashu
2026, 43(2): 340-350. doi: 10.11833/j.issn.2095-0756.20250279
[Abstract](841) [HTML] (436) [PDF](155)
Abstract:
  Objective  This study aims to assemble, annotate, and analyze the chloroplast genome of flowering Chinese cabbage (Brassica rapa var. parachinensis), and to elucidate its phylogenetic relationships with other Brassicaceae crops.   Method  The complete chloroplast genome of flowering Chinese cabbage was sequenced using the Illumina NovaSeq 6000 platform. Bioinformatics approaches were employed to analyze its genome structure, repetitive sequences, nucleotide diversity, codon usage bias, and phylogenetic relationships by constructing phylogenetic trees with chloroplast genome sequences of other 25 Brassicaceae species.   Result  The chloroplast genome of flowering Chinese cabbage is 153 482 bp in length with a GC content of 36.36%, exhibiting a typical quadripartite structure. In total, 132 functional genes had been identified and annotated, comprising 86 protein-coding genes, 37 tRNA genes, 8 rRNA genes, and 1 pseudogene. Codon usage bias analysis revealed that leucine (Leu) is the most frequently used amino acid, with 31 codons showing a relative synonymous codon usage (RSCU) value greater than 1, predominantly ending with A or U. Repetitive sequence analysis detected 37 dispersed repeats and 315 simple sequence repeats (SSRs), with mononucleotide repeats predominating (72.70% of total SSRs). The nucleotide diversity of small single copy region (SSC) is the highest, while that of inverted repeat region (IR) is the lowest. Phylogenetic analysis revealed that flowering Chinese cabbage exhibits the closest genetic relationship with leafy Chinese cabbage varieties.   Conclusion  The chloroplast genome of flowering Chinese cabbage exhibits a conserved quadripartite structure and demonstrates close phylogenetic relationships with B. rapa var. chinensis, B. rapa var. purpuraria, and B. rapa subsp. pekinensis. [Ch, 5 fig. 3 tab. 39 ref.]
Assessment of crossability and authenticity of progeny in distant hybridization of Lilium davidii var. unicolor
LIU Huiyu, LIU Yijie, TAN Bohao, MA Xiao’ou, DONG Qinjin, MENG Min, WEI Qisen, SUN Ming
2026, 43(2): 351-360. doi: 10.11833/j.issn.2095-0756.20250420
[Abstract](595) [HTML] (319) [PDF](153)
Abstract:
  Objective  This study aims to investigate hybrid affinity between Lilium davidii var. unicolor and Lilium ornamental cultivars, and to provide germplasm resources and technical support for breeding multi-purpose lilies.   Method  Pollen viability of all tested lilies was examined. Based on the results, 10 cross combinations were established: using L. davidii var. unicolor as the male parent with ‘Tiger Babies’ ‘Purple Dream’ ‘Black Charm’ ‘Sweet Sugar’ ‘Eye Liner’‘Gizmo’ and ‘Watch Up’ as female parents, and using L. davidii var. unicolor as the female parent with ‘Purple Dream’ ‘Black Charm’ and ‘Watch Up’ as male parents. 3 pollination methods were employed, including direct pollination, cut-style pollination, and stigma application with 1 g·L−1 NAA solution. Cross-compatibility was evaluated based on pollen tube growth and fruit set. The authenticity of hybrid seedlings obtained through embryo culture was assessed using SSR markers.   Result  (1) Cross-compatibility analysis revealed that ‘Sweet Sugar’ and ‘Black Charm’ exhibited the highest compatibility with L. davidii var. unicolor, followed by ‘Eye Liner’ ‘Tiger Babies’ and ‘Purple Dream’. In contrast, ‘Watch Up’ and ‘Gizmo’ showed low compatibility. (2) Direct pollination was the simplest and most universally applicable method. (3) SSR analysis revealed that all 145 seedlings from the 6 hybrid combinations (‘Sweet Sugar’ × L. davidii var. unicolor, ‘Black Charm’ × L. davidii var. unicolor, ‘Tiger Babies’ × L. davidii var. unicolor, ‘Eye Liner’ × L. davidii var. unicolor, L. davidii var. unicolor × ‘Black Charm’, and L. davidii var. unicolor × ‘Purple Dream’) were authentic hybrids.   Conclusion  The study revealed distinct cross-compatibility between L. davidii var. unicolor and different lily cultivars, identifying ‘Sweet Sugar’ and ‘Black Charm’ as highly compatible parents. Cut-style pollination is an effective technique for improving fruit set in the cross of ‘Tiger Baby’× L. davidii var. unicolor. SSR marker technology enables early and accurate identification of hybrid seedlings. [Ch, 2 fig. 6 tab. 34 ref.]
Identification, characterization and fungicide screening of the causal pathogen of branch blight in Rosa chinensis
WU Chonggao, ZHU Tong, CUI Yunlong, LIU Xuefeng, LIU Qing, DIAO Guiping
2026, 43(2): 361-369. doi: 10.11833/j.issn.2095-0756.20250213
[Abstract](3006) [HTML] (1150) [PDF](156)
Abstract:
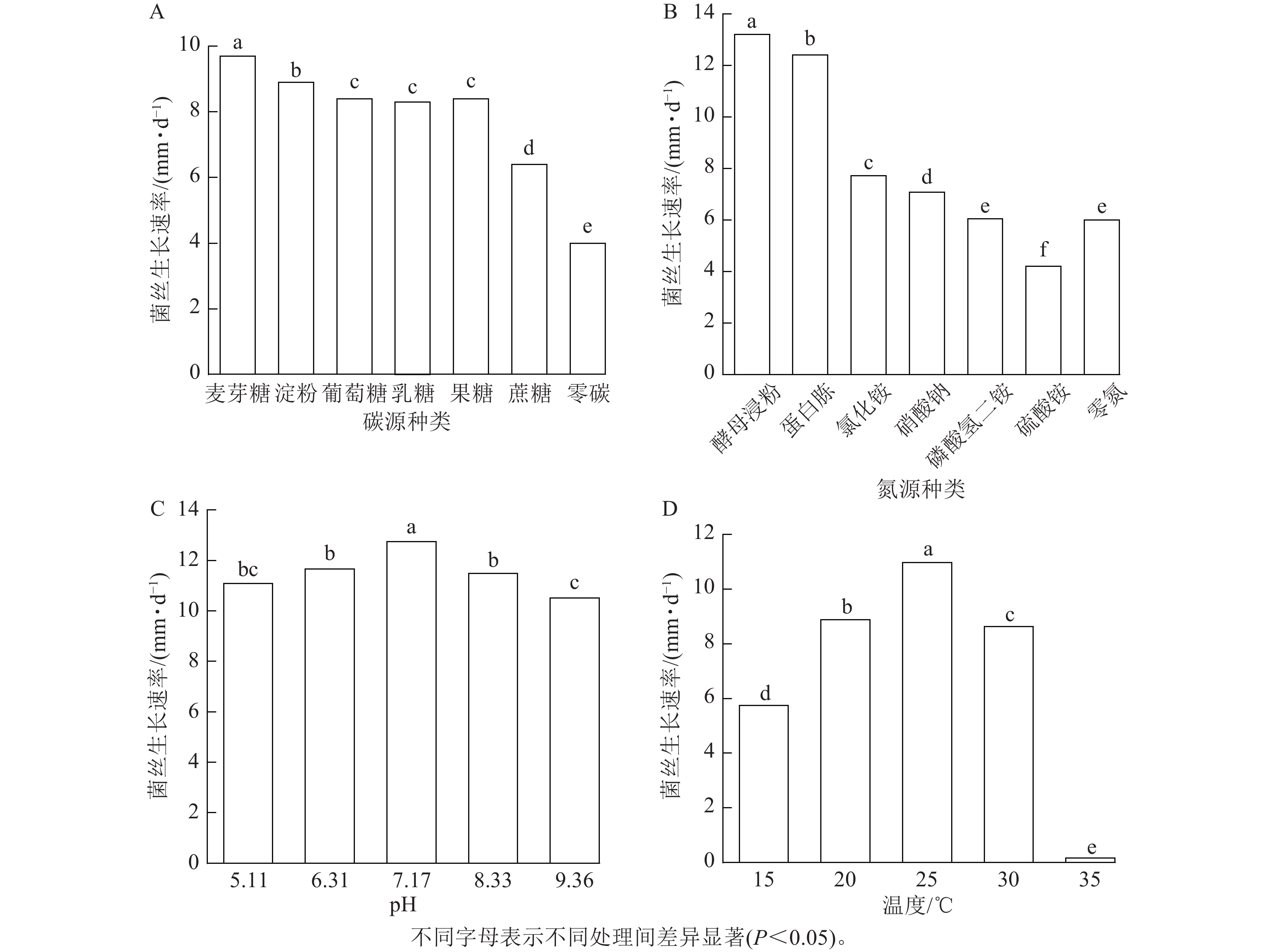
  Objective  This study aimed to identify the causal pathogen of branch blight in Rosa chinensis, characterize its biological properties, and evaluate effective fungicides to establish a scientific foundation for disease for disease control.   Method  The pathogen was isolated and purified using tissue isolation. The isolate was characterized morphologically and phylogenetically by multi-locus sequence analysis. Mycelial growth kinetics were assessed under varying carbon/nitrogen sources, pH values, and temperatures using the growth rate method. 5 fungicides were evaluated for inhibitory effects by poisoned medium technique.   Result  The purified strain R1007 induced disease symptoms upon wound inoculation, and the same strain was re-isolated from infected tissues. Morphological characteristics matched Nectria ulmicola, and Blast analysis with phylogenetic analysis confirmed high genetic similarity to the type strain CFCC52117 of N. ulmicola. Optimal growth conditions were maltose (carbon source), yeast extract (nitrogen source), pH 7.17, and 25 ℃. Among tested fungicides, carbendazim showed the strongest inhibition (EC50=0.338 8 mg·L−1).   Conclusion  The causal agent of R. chinensis branch blight was identified as N. ulmicola. The optimal growth conditions were maltose and yeast extract as carbon and nitrogen sources, pH 7.17, and 25 ℃. Carbendazim shows promise as an effective fungicide for disease control. [Ch, 5 fig. 2 tab. 28 ref.]
Differential analysis of soil nutrient-enzyme activity-microbial diversity in typical woodland in loess area
LI Zhipeng, BI Huaxing, GUAN Ning, HUANG Haobo, ZENG Xing, KANG Sai, ZHOU Tao, QIU Ting
2026, 43(2): 370-380. doi: 10.11833/j.issn.2095-0756.20250224
[Abstract](276) [HTML] (93) [PDF](74)
Abstract:
  Objective  To investigate the effects of different forest stand types on soil nutrients, enzyme activities and microbial diversity, which can provide theoretical basis for the improvement of soil function and the selection of suitable tree species in the study area from the perspective of soil improvement by forest land.   Method  This study selected 5 typical forest stands (Robinia pseudoacacia pure forest, Pinus tabulaeformis pure forest, Platycladus orientalis pure forest, Pinus tabulaeformis-Robinia pseudoacacia mixed forest, Quercus wutaishanica-Populus davidiana mixed forest) in the loess area of Western Shanxi, and used the barren grassland as the control, to determine the characteristics of soil nutrients, enzyme activities and microbial diversity in different forests, and to analyze the interrelationships among soil nutrients, enzyme activities and microbial diversity by combining the high-throughput sequencing method, one-way analysis of variance, redundancy analysis, etc. This study also analyzed the relationship between soil nutrients, enzyme activities and microbial diversity of different forests. The relationship between soil nutrients, soil enzyme activity and microbial diversity was analyzed by combining high-throughput sequencing and redundancy analysis.   Result  (1) The soil nutrients of forest land were better than those of barren grassland, and the contents of total nitrogen (TN) and organic matter (SOM) in the Pinus tabulaeformis-R. pseudoacacia and Q. wutaishanica-Populus davidiana mixed forests were significantly higher than those in the other pure forests (P<0.05). (2) Soil β-glucosidase (BG), leucine aminopeptidase (LAP), and alkaline phosphatase (ALP) activities were the highest in Q. wutaishanica-Populus davidiana mixed forests, and soil β-N-acetylamino-glucosidase (NAG) activity was the highest in Pinus tabulaeformis pure forest. (3) ACE, Chao1 and Shannon’s alpha diversity indices of soil bacteria were generally high, but mixed forest creation significantly enhanced the species richness of fungal communities (P<0.05). (4) Soil enzyme activities were significantly correlated with soil TN, ANC, NNC, AP and SOM contents (P<0.05), and soil microbial diversity was were closely correlated (P<0.05). Soil NAG and ANC were the key drivers of microbial communities.   Conclusion  The comprehensive study showed that mixed forests exhibited significant positive effects on soil nutrient accumulation, enhanced enzyme activities and increased fungal diversity compared with pure forests and barren grasslands. Therefore, based on the perspective of soil improvement by forest stands, it is recommended that a mixed forest configuration with deciduous broadleaf or coniferous broadleaf species as the core should be prioritized in the vegetation restoration and reconstruction of loess area. [Ch, 4 fig. 6 tab. 32 ref.]
Characteristics of soil metabolites associated with degraded alpine meadow and their correlations with environmental factors in Sanjiangyuan region
YANG Xiaoyan, JIN Hui, DAI Lu, HUANG Xiancheng, CHEN Jixiang, QIN Bo
2026, 43(2): 381-394. doi: 10.11833/j.issn.2095-0756.20250227
[Abstract](306) [HTML] (167) [PDF](94)
Abstract:
  Objective  This study examines soil metabolite variations in degraded alpine meadows of the Sanjiangyuan region, identifies key metabolic pathway shifts, and assesses their correlations with soil environmental factors. The findings provide scientific insights into degradation drivers and soil ecological responses.   Method  This study focuses on alpine meadows in Sanjiangyuan National Park, Maqin County, Guoluo Tibetan Autonomous Prefecture, Qinghai Province. It uses untargeted LC-MS/MS metabolomics to analyze soil metabolites across a degradation gradient, including non-degraded, lightly degraded, moderately degraded, and severely degraded meadows. The study also examines correlations between key differentially expressed metabolites and soil environmental factors.   Result  A total of 8 451 metabolites were identified, with lipids and lipid-like molecules being the most abundant (26.81%). Soil degradation significantly altered metabolite types and contents, with the most significant differences observed between heavily degraded and other meadow types. The top 20 signature metabolites included carboxylic acids, fatty acyls, organic nitrogen compounds, and sphingolipids. Key metabolic pathways affected were linoleic acid metabolism, ABC transporters, phospholipase D signaling, and sphingolipid signaling. Redundancy analysis revealed significant correlations between soil metabolites and environmental factors such as organic matter, water content, total nitrogen, total phosphorus, pH, and urease activity.   Conclusion  The types of signature metabolites, differentially expressed metabolites, and major metabolic pathways in alpine meadow soils varied significantly across degradation levels. These variations were hypothesized to correlate strongly with changes in environmental factors such as soil organic matter, water content, total nitrogen, total phosphorus, pH, and soil urease. [Ch, 6 fig. 2 tab. 55 ref.]
Spatiotemporal dynamics of soil respiration across different vegetation types in Beijing Olympic Forest Park
XIE Xiuqiang, LIU Peng, ZHAO Hongxian, LI Qinyuan, LUO Kemei, ZHA Tianshan
2026, 43(2): 395-404. doi: 10.11833/j.issn.2095-0756.20250206
[Abstract](608) [HTML] (307) [PDF](152)
Abstract:
  Objective  This study aims to investigate the spatiotemporal dynamics, as well as the driving factors of soil respiration across different vegetation types of urban forests, so as to provide theoretical references for regional carbon estimation.   Method  Taking Beijing Olympic Forest Park as the research object, a portable soil respiration measurement system was used to measure soil respiration (Rs), soil temperature (Ts), and soil water content (CSW) of 26 sample plots (13 in the arbor community and 13 in the arbor-shrub mixed community) monthly from April to October in 2023. And combined with high-resolution normalized difference vegetation index (INDV), a fitting analysis was conducted on the seasonal and spatial variations of Rs and the influencing factors.   Result  (1) The seasonal dynamics of Rs and Ts were consistent, showing a unimodal pattern of first increasing and then decreasing. The average Rs in the arbor community (4.83 μmol·m−2·s−1) was higher than that in the arbor-shrub mixed community (4.42 μmol·m−2·s−1). (2) Ts accounted for 90.0% and 73.0% of the seasonal variation in Rs in the arbor and arbor-shrub mixed community, respectively, while CSW explained 28.0% and 37.0%. A dual-factor model incorporating both temperature and moisture could explain 93.0% and 82.0% of the variation, respectively. (3) The spatial coefficient of variation of Rs in the arbor-shrub mixed community was similar to the variation trend of CSW, with a significant positive correlation between the two (R2=0.88, P< 0.01). In contrast, there was a highly significant nonlinear relationship between the spatial variation of Rs and Ts (R2=0.65, P<0.01) in the arbor community. (4) The response of Rs to Ts varied in time and space, with an approximately linear increase in time and a nonlinear response in space. Although Rs increased with the increase of CSW in both time and space, the rate of increase varied.   Conclusion  The response of Rs to environmental factors in urban forests exhibits spatiotemporal variations. Ts is the driving factor of seasonal variations in Rs, while the dominant factors of spatial variation of urban forest Rs vary among different vegetation types. [Ch, 6 fig. 2 tab. 38 ref.]
Effects of different fire severities on understory vegetation species diversity and soil physicochemical properties in Pinus tabuliformis forests
GONG Junwei, CHEN Sifan, FENG Haoyu, SUO Aoli, TONG Dalong, CHEN Feng, LIU Xiaodong
2026, 43(2): 405-415. doi: 10.11833/j.issn.2095-0756.20250291
[Abstract](723) [HTML] (277) [PDF](157)
Abstract:
  Objective  The objective is to investigate the effects of different fire severities on understory vegetation species diversity and soil physicochemical properties, which is of great significance for the restoration and sustainable management of forest ecosystems in burnt areas.   Method  The study focused on the burnt area 4 years after the fire in Pinus tabuliformis forests in Taiyue Mountain of Shanxi Province. A combination of field investigation and indoor analysis was used to examine the differences and trends in understory vegetation species diversity and soil physicochemical properties in plots with different fire severities (low severity fire, medium severity fire, high severity fire, and no fire), as well as the short-term response of post-fire species diversity to physicochemical properties.   Result  (1) A total of 50 vascular plant species were recorded, belonging to 20 families and 43 genera. After low-severity fire in the herb layer and medium severity fire in the shrub layer, the number of species was higher than that in unburnt areas. (2) In the shrub layer, the Shannon-Wiener index, Simpson index, and Margalef index ranging from large to small were as follows: medium-severity fire plots, high-severity fire plots, unburnt plots, and low-severity fire plots, while the Pielou index in descending order was high-severity fire plots, medium-severity fire plots, unburnt plots, and low-severity fire plots. In the herb layer, the Shannon-Wiener and Margalef indices significantly increased by 21.38% and 47.55% (P<0.05) in the low-severity fire plots compared to unburnt plots, while the Simpson and Pielou indices significantly increased by 20.00% and 19.40% (P<0.05) in the high-severity fire plots compared to unburnt plots. (3) Different fire severities significantly (P<0.01) affected soil physicochemical properties. Soil moisture content and total porosity decreased with increasing fire severity. Mass fraction of total phosphorus and potassium showed a trend of first decreasing and then increasing with the increase of fire severity, reaching its lowest point in medium-severity fire plots. Soil total porosity, soil organic carbon, total nitrogen and available potassium decreased with deepening of soil layers in different fire severity plots. (4) The redundancy analysis revealed that soil moisture content, capillary porosity, and total potassium mass fraction in the 0−10 cm layer, along with available phosphorus mass fraction, total porosity, and available potassium mass fraction in the 10−20 cm layer, were significant soil factors affecting species diversity in the shrub and herb layers.  Conclusion  Low severity and medium severity fires promote vegetation regeneration in P. tabuliformis forests, and soil moisture content and available phosphorus are key factors driving post fire species diversity differentiation. [Ch, 2 fig. 4 tab. 48 ref.]
Structure and composition of typical forest communities on Daishan Island in Zhejiang Province
ZHOU Xinyue, YU Dihu, HUANG Jin, GAO Haojie, WANG Zhenming, OU Houhui, YU Shuquan
2026, 43(2): 416-425. doi: 10.11833/j.issn.2095-0756.20250196
[Abstract](596) [HTML] (210) [PDF](153)
Abstract:
  Objective  This study aims to investigate the species composition and community structure of forest stands on Daishan Island, Zhejiang Province, and provide recommendations for tree species combination models for the restoration of forest communities on islands.   Method  A quadrat survey was conducted to investigate woody plants with a diameter at breast height (DBH) ≥ 1 cm within the sample plots (100 m×100 m). Species composition, floristic elements, DBH class distribution, species diversity, and tree species combination were analyzed.   Result  A total of 8 767 woody plant individuals were recorded, belonging to 29 species, 28 genera, and 18 families, with an average tree height of 4.11 m and an average DBH of 4.35 cm. Quercus acutissima, Cinnamomum camphora, and Ficus erecta were the dominant species in the community. At the family level, the flora consisted of 27.78% cosmopolitan, 50.00% tropical, and 22.22% temperate components. At the genus level, 64.29% were tropical, 28.57% temperate, and 7.14% unique to China. The DBH of tree species in the community showed an inverted “J” shape distribution, with 91.80% of plants in the small and relatively small diameter classes. The Shannon-Wiener diversity index, Pielou evenness index, Simpson diversity index, and Margalef richness index were 1.28, 0.38, 0.50, and 3.08, respectively. The community included tree species combinations with good resilience, such as C. camphora-Q. acutissima, Metasequoia glyptostroboides-Q. acutissima, and Q. acutissima-F. erecta.   Conclusion  The forest community on Daishan Island is dominated by Q. acutissima, C. camphora, F. erecta, Eurya nitida, and Ilex cornuta. The DBH structure displays an inverted “J” shape pattern, and the plant community in this area is dominated by tropical species. The overall distribution of tree species in the community is uneven, resulting in different combinations of tree species. [Ch, 4 fig. 4 tab. 30 ref.]
Distribution of forest carbon stocks in “Three Parallel Rivers” region based on GTWR-GBRT model
ZHOU Zhenyan, LIU Chang, SONG Xiechen
2026, 43(2): 426-434. doi: 10.11833/j.issn.2095-0756.20250346
[Abstract](691) [HTML] (286) [PDF](161)
Abstract:
  Objective  Forest carbon storage plays a vital role in the global climate system and provides an important reference for achieving carbon peak and carbon neutrality goals. Model-based methods are effective for estimating forest carbon storage, while improving prediction accuracy remains a key challenge.   Method  Using national forest resource inventory data and Landsat 7 and 8 imagery, 5 modeling approaches including geographically and temporally weighted regression (GTWR), random forest (RF), gradient boosting regression tree (GBRT), GTWR-RF, and GTWR-GBRT were applied to estimate forest carbon storage in “Three Parallel Rivers” region from 2012 to 2021, and the optimal model was selected for final estimation.   Result  (1) GTWR model accounted for both spatial and temporal dimensions, while GBRT model showed clear limitations in explaining spatial heterogeneity. When used individually, all models exhibited limited explanatory power. In contrast, the two-stage hybrid model performed better than the single models, effectively addressing spatial heterogeneity and the nonlinear relationships between carbon storage and environmental variables. (2) GTWR-GBRT model achieved the best fitting performance, with the coefficient of determination (R2) of 0.98, the prediction accuracy of 0.90, and the relative root mean square error (rRMSE) of 5.91, outperforming the other 4 models, indicating that incorporating both spatiotemporal heterogeneity and nonlinearity were essential for accurate forest carbon estimation. (3) Forest carbon storage in the study area exhibited significant positive spatial autocorrelation. Estimates generated by GTWR-GBRT model revealed that forest carbon storage from 2012 to 2021 was unevenly distributed, mainly concentrated in high-altitude regions, showing a general pattern of higher values in the west and lower values in the east, along with some localized high-carbon areas.   Conclusion  Compared with various single models and other combined models, the GTWR-GBRT hybrid model demonstrates superior fitting and predictive performance, suggesting that integrating spatiotemporal and nonlinear characteristics within a two-stage hybrid framework can yield more accurate estimations of forest carbon storage. [Ch, 3 fig. 6 tab. 30 ref.]
Reviews
A review on machine harvesting loss reduction and high-yielding agronomic practices in mechanized ratoon rice cropping systems
TIE Qianfang, SHI Xiaoyan, XUE Xianglei, YU Guohong
2026, 43(2): 435-444. doi: 10.11833/j.issn.2095-0756.20250549
[Abstract](302) [HTML] (129) [PDF](106)
Abstract:
Regenerated rice cultivation, characterized by “one-crop-two-harvests”, offers significant advantages such as labor-saving efficiency and environmental friendliness, making it vital for ensuring food security. However, mechanical harvesting damage in the first season remains a core issue limiting the yield of the regenerated season and the wider adoption of this cultivation system. This paper systematically reviews the research progress in loss reduction during mechanical harvesting and high-yielding agronomic practices for mechanically harvested regenerated rice. The review focuses on 2 key aspects: first, technologies and equipment innovations for reducing harvest losses, including optimization of specialized harvesters for regenerated rice (wheeled and tracked chassis), lightweight design, stubble righting devices, intelligent path planning, and matching cultivation techniques such as “wide-narrow row” spacing, aiming to minimize crushing damage through improved machinery and operational adjustments; second, high-yield and stable-yield agronomic strategies, including selection of strongly regenerative and crush-tolerant varieties, early sowing and transplanting aligned with light and heat resources, timely harvesting, and dynamic water-fertilizer management based on stubble height, which collectively establish a robust system for high and stable yields. In summary, against the backdrop of replacing manual labor with machinery, achieving “high yields in both seasons” for regenerated rice fundamentally relies on deep integration and systematic optimization of “variety, agronomy, and machinery”. This involves establishing an integrated technical system spanning pre-production, in-season, and post-production stages, thereby effectively mitigating harvest losses, fully realizing the yield potential and overall benefits of regenerated rice, and providing theoretical and technical support for sustainable rice production. [Ch, 74 ref.]
Research progress on extraction technology of active components from polygonati rhizoma
QIAN Fan, SHEN Yanghui, SHI Ying, LIU Jingjing
2026, 43(2): 445-456. doi: 10.11833/j.issn.2095-0756.20250173
[Abstract](865) [HTML] (286) [PDF](107)
Abstract:
Polygonati rhizoma, a substance that serves both as food and medicine, is rich in nutritional and functional components such as polysaccharides, saponins, and flavonoids. It has the effects of enhancing immune function, anti-fatigue, regulating blood sugar and regulating gut microbiota. With the increasing demand for healthy products, polygonati rhizoma extracts are commonly used in the combination of traditional Chinese patent medicines and health foods. The extraction process of active components from polygonati rhizoma is discussed, and a summary and outlook are provided from both the perspective of production practice and scientific research. The summary of extraction methods reveals that for the extraction of the main active components of polygonati rhizoma, the traditional reflux extraction method is still widely used in the industrial production process, which has high loss and low efficiency in spite of its low cost. This paper highlights the advantages of new methods such as ultrasonic-assisted enzymatic extraction in the extraction of polysaccharides and saponins. The yield of the new methods can be 1.5 to 3.3 times that of the traditional methods. It points out the shortcomings of the existing extraction methods for the unique small polar high isoflavones in polygonati rhizoma and suggests that targeted extraction techniques should be developed based on the properties of the target substances. The improved extraction process can increase the yield of active component. [Ch, 96 ref.]